2 Probability Flashcards

(23 cards)

1
Q

What is the definition of an experiment in probability?

A

A process that yields an outcome.

How well did you know this?
1
Not at all
2
3
4
5
Perfectly
2
Q

What is an event in probability?

A

A set of outcomes.

How well did you know this?
1
Not at all
2
3
4
5
Perfectly
3
Q

Define sample space.

A

The set of all possible outcomes.

How well did you know this?
1
Not at all
2
3
4
5
Perfectly
4
Q

What does complement refer to in probability?

A

The set of outcomes which are not contained in an event.

How well did you know this?
1
Not at all
2
3
4
5
Perfectly
5
Q

Describe A’

A

The is the event NOT A

How well did you know this?
1
Not at all
2
3
4
5
Perfectly
6
Q

What are mutually exclusive events?

A

Two events that share no common outcomes.

How well did you know this?
1
Not at all
2
3
4
5
Perfectly
7
Q

What does it mean for two events to be statistically independent?

A

The occurrence of one event does not affect the probability of the other event.

How well did you know this?
1
Not at all
2
3
4
5
Perfectly
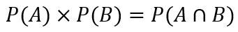
8
Q

What is the formula for independent events?

A
How well did you know this?
1
Not at all
2
3
4
5
Perfectly
9
Q

What is the range of probabilities for all events?

A

Between 0 (impossible) and 1 (certain).

How well did you know this?
1
Not at all
2
3
4
5
Perfectly
10
Q

What is the sum of all probabilities in any experiment?

A

1

How well did you know this?
1
Not at all
2
3
4
5
Perfectly
11
Q

What is the complement of the event ‘The coin lands on heads’?

A

The coin lands on tails.

How well did you know this?
1
Not at all
2
3
4
5
Perfectly
12
Q

What is the complement of the event ‘the die shows an even number’?

A

The die shows an odd number.

How well did you know this?
1
Not at all
2
3
4
5
Perfectly
13
Q

What is the complement of the event ‘I do not catch any of my trains on-time’?

A

I catch at least one of my trains on-time.

How well did you know this?
1
Not at all
2
3
4
5
Perfectly
14
Q

What is the additional rule in probability?

A
How well did you know this?
1
Not at all
2
3
4
5
Perfectly
15
Q

What is a Tree Diagram used for?

A

To show the outcomes of two (or more) events happening in succession.

How well did you know this?
1
Not at all
2
3
4
5
Perfectly
16
Q

What is a Hyergeometric Tree?

A

A specific case of a tree diagram for sampling without replacement.

17
Q

What does ‘at least one’ refer to in probability?

A

The probability that one or more events occur.

18
Q

What does conditional probability depend on?

A

The outcome of a previous event

19
Q

What does the notation P(A|B) represent?

A

The probability of A occurring GIVEN that B has already occurred

This is a key concept in conditional probability.

20
Q

How do you calculate conditional probabilities?

A

By reducing the sample space

21
Q

What is the probability of two events A and B being mutually exclusive?

A

This means they cannot occur at the same time.

22
Q

What does it mean if events A and B are not independent?

A

P(A and B) ≠ P(A) x P(B)

This indicates a dependence between the events.

23
Q

What statistical formula is true if events A and B are independent?

A

P(A and B) = P(A) * P(B)

This indicates a dependence between the events.