4) Itervative Methods for Solving Linear Systems Flashcards

(47 cards)

1
Q

What is the Reaction-Diffusion Problem

A
How well did you know this?
1
Not at all
2
3
4
5
Perfectly
2
Q

How do you implement the Centred Finite Difference approximation

A
How well did you know this?
1
Not at all
2
3
4
5
Perfectly
3
Q

Describe the matrix in the Centred Finite Difference Scheme if r(x) and the boudary conditions are 0

A
How well did you know this?
1
Not at all
2
3
4
5
Perfectly
4
Q

Describe the eigenvalues of the finite difference approximation matrix using a cos approximation

A
How well did you know this?
1
Not at all
2
3
4
5
Perfectly
5
Q

What is Jacobi Iteration

A
How well did you know this?
1
Not at all
2
3
4
5
Perfectly
6
Q

What is Gauss-Seidel Iteration

A
How well did you know this?
1
Not at all
2
3
4
5
Perfectly
7
Q

What defines the error in Jacobi or Gauss-Seidel iterative methods

A
How well did you know this?
1
Not at all
2
3
4
5
Perfectly
8
Q

How many operations are required to perform one iteration of Gauss-Seidel iteration on Ax = b

A

O(n^2)

How well did you know this?
1
Not at all
2
3
4
5
Perfectly
9
Q

What is the residual

A
How well did you know this?
1
Not at all
2
3
4
5
Perfectly
10
Q

What condition determines a solution in Jacobi or Gauss-Seidel methods

A

In both Jacobi and Gauss-Seidel methods, a vector
x is a solution to the linear system Ax=b if and only if it is a fixed point of the iteration. This means that x satisfies the equation: x=Tx+c

How well did you know this?
1
Not at all
2
3
4
5
Perfectly
11
Q

Describe the proof that in both Jacobi and Gauss-Seidel methods, a vector x is a solution to Ax=b if and only if it is a fixed point of the iteration

A
How well did you know this?
1
Not at all
2
3
4
5
Perfectly
12
Q

How is the error progression formulated in Jacobi and Gauss-Seidel iterations

A
How well did you know this?
1
Not at all
2
3
4
5
Perfectly
13
Q

What is a vector norm

A
How well did you know this?
1
Not at all
2
3
4
5
Perfectly
14
Q

What are the three most commonly used vector norms

A
How well did you know this?
1
Not at all
2
3
4
5
Perfectly
15
Q

What does it mean fora sequence of vectors to converge with respect to a vector norm

A
How well did you know this?
1
Not at all
2
3
4
5
Perfectly
16
Q

What is the relationship between the infinity norm and the 2-norm of a vector in Rn

A
How well did you know this?
1
Not at all
2
3
4
5
Perfectly
17
Q

Describe the proof of

A
How well did you know this?
1
Not at all
2
3
4
5
Perfectly
18
Q

What is the relationship between convergence in the 2-norm and convergence in the infinity norm

A
How well did you know this?
1
Not at all
2
3
4
5
Perfectly
19
Q

Describe the proof that convergence in the 2-norm is equivalent to convergence in the infinity norm

20
Q

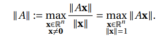
What is a matrix norm

21
Q

What is the definition of a matrix norm induced by a vector norm

22
Q

Describe the proof that

23
Q

If ∥·∥ is a vector norm, then what do we know about ∥A∥

24
Q

Let ∥A∥ be the induced matrix norm, show that ∥A + B∥ ≤ ∥A∥ + ∥B∥

25
Let ∥A∥ be the induced matrix norm, show that ∥AB∥ ≤ ∥A∥∥B∥
26
What are the norms induced by the vector 1-norms and ∞-norms
27
What is the spectral radius of a matrix
28
How do you find the eigenvalues of a matrix
29
What is the 2-norm of a matrix
30
What is the 2-norm of a symmetric matrix
31
Assume D + L is non-singular and consider the Gauss-Seidel iteration matrix T = −(D + L) −1U. Show that λ is an eigenvalue of T if and only if det(λ(D + L) + U) = 0
32
Describe the proof that
33
Show that for the induced matrix norm ∥A∥, we always have ∥A∥ ≥ ρ(A).
We have Ax = λx We have ∥Ax∥ = ∥λx∥ = |λ|∥x∥ Then, using a property of the induced matrix norm, we have ∥Ax∥ ≤ ∥A∥ ∥x∥. Hence |λ|∥x∥≤ ∥A∥ ∥x∥ Since eigenvectors are non-zero, ∥x∥ ̸= 0 and so |λ| ≤ ∥A∥ p(A) is the maximum λ so p(a) ≤ ∥A∥
34
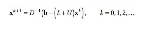
What is the relationship between the error at the k-th iteration and the initial error in an iterative method for solving Ax=b using x^k+1 = T x^k +c
35
Describe the proof that
36
What are the conditions for the sequence x^k in an iterative method to converge to a fixed point x satisfying x = T x+c, with respect to the chosen norm vector ∥·∥
* Vector Norm Condition: If ∥T ∥ < 1 * Spectral Radius Condition: If and only if p(T) < 1 the x^k iterates converge for all starting points x0
37
Describe the proof that if ∥T ∥ < 1then the sequence x^k , k ≥ 0, converges to a fixed point x satisfying x = T x+c, with respect to the chosen norm vector ∥·∥
38
Describe the proof that x^k iterates converge for all starting points x^0 if and only if p(T) < 1
39
What is Gershgorin’s Circle Theorem
40
Describe the proof of Gershgorin’s Circle Theorem
41
What does it mean to be diagonally dominant
42
If a matrix A is diagonally dominant what does that impy about its convergence
Let A be diagonally dominant. Then the Jacobi method converges to a solution of the system Ax = b for any starting point x^0
43
Describe the proof that if A is diagonally dominant then the Jacobi method converges to a solution of the system Ax = b for any starting point x0
44
What is the condition number of a matrix A
Let ∥·∥ be a matrix norm and let A an invertible matrix. The condition number of A is defined as cond(A) := ∥A∥· ∥A^−1∥
45
Explain the importance of the condition number of a linear system
* The condition number measures the sensitivity of a linear system to changes in input data. A high condition number indicates potential large changes in the solution for small perturbations * A high condition number suggests a higher likelihood of significant errors due to rounding and truncation
46
What is the relationship between the error, residual, and condition number in iterative methods
47
Describe the proof that cond(A) ≥ 1 for any matrix A