5 — Nuclear physics, radioactivity Flashcards

(18 cards)

1
Q

Give the definition of isotopes.

A
How well did you know this?
1
Not at all
2
3
4
5
Perfectly
2
Q

List the isotopes of hydrogen with their mass number and the constituents of their nuclei.

A
How well did you know this?
1
Not at all
2
3
4
5
Perfectly
3
Q

What is the mass defect of nuclei?

A
How well did you know this?
1
Not at all
2
3
4
5
Perfectly
4
Q

What is the relationship between the total binding energy (ΔE) and the mass defect (Δm) of a given nucleus?

A
How well did you know this?
1
Not at all
2
3
4
5
Perfectly
5
Q

Describe how the binding energy per nucleon changes asa function of mass number.

A
How well did you know this?
1
Not at all
2
3
4
5
Perfectly
6
Q

What are the properties of nuclear force (their range, strength and direction)?

A
How well did you know this?
1
Not at all
2
3
4
5
Perfectly
7
Q

On what kind of energy level does a nucleon reside in a nucleus compared to the energy of a free particle?

A
How well did you know this?
1
Not at all
2
3
4
5
Perfectly
8
Q

List the types of radioactive radiation and characterize the particles constituting them.

A
How well did you know this?
1
Not at all
2
3
4
5
Perfectly
9
Q

What is the direction of changes in the atomic number and the mass number of nuclei during alpha decay, both types of β decay, electron capture, and gamma decay?

A
How well did you know this?
1
Not at all
2
3
4
5
Perfectly
10
Q

Why is the spectrum of beta decay continuous?

A
How well did you know this?
1
Not at all
2
3
4
5
Perfectly
11
Q

What is electron capture and what does it produce?

A
How well did you know this?
1
Not at all
2
3
4
5
Perfectly
12
Q

Give the equation describing the number of undecayed nuclei as a function of time (i.e. the law of radioactive decay).

A
How well did you know this?
1
Not at all
2
3
4
5
Perfectly
13
Q

What is the physical meaning of the radioactive decay constant?

A
How well did you know this?
1
Not at all
2
3
4
5
Perfectly
14
Q

What is the relationship between the radioactive decay constant (λ) and the half life (T)?

A
How well did you know this?
1
Not at all
2
3
4
5
Perfectly
15
Q

Define biological half life.

A
How well did you know this?
1
Not at all
2
3
4
5
Perfectly
16
Q

Define effective half life.

17
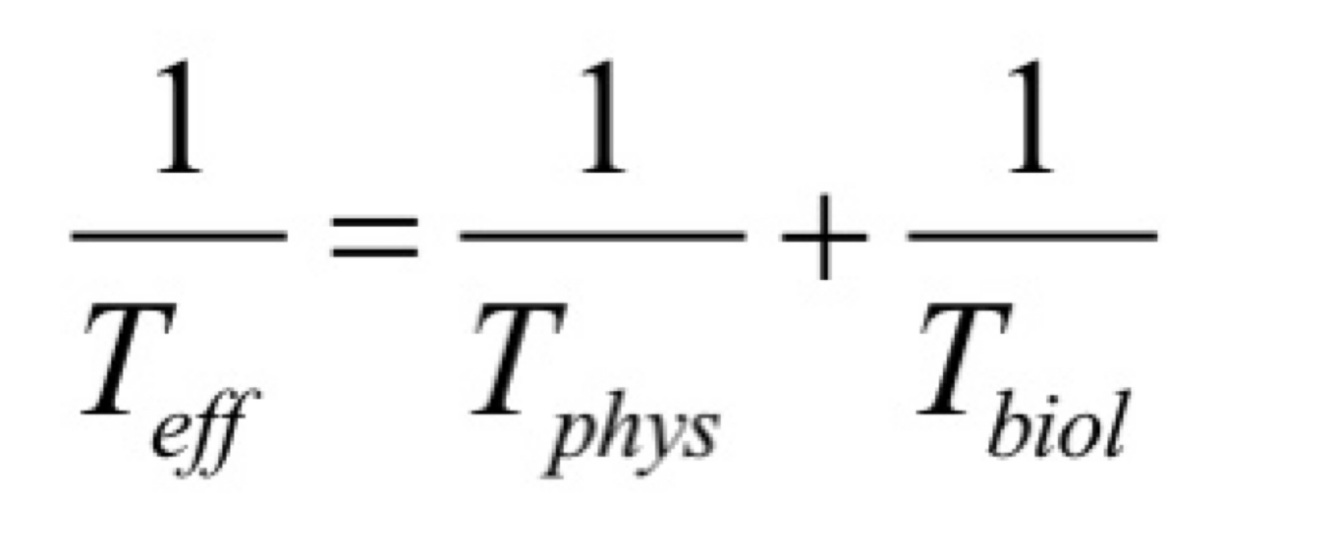
Q

Describe the relationship between the effective (Teff), the physical (Tphys) and the biological (Tbiol) half lives.

18
Q

Describe the relationship between the physical (λphys), the biological (λbiol) and the effective (λeff) decay constants.