7) Determinants, eigenvalues and eigenvectors Flashcards

(29 cards)

1
Q

What is

A

The (n − 1) × (n − 1) matrix obtained from M by deleting the i-th row and j-th column

How well did you know this?
1
Not at all
2
3
4
5
Perfectly
2
Q

What is the determinant of a matrix

A
How well did you know this?
1
Not at all
2
3
4
5
Perfectly
3
Q

What is Laplace Expansion Theorem

A
How well did you know this?
1
Not at all
2
3
4
5
Perfectly
4
Q

What is the minor and cofactor of a matrix

A
How well did you know this?
1
Not at all
2
3
4
5
Perfectly
5
Q

What is an upper triangle matrix

A

A square matrix M is called upper triangular if Mij = 0 for all i > j,
that is, if all entries below the main diagonal are 0

How well did you know this?
1
Not at all
2
3
4
5
Perfectly
6
Q

What is the determinant of an upper triangle matrix

A
How well did you know this?
1
Not at all
2
3
4
5
Perfectly
7
Q

What is the determinant of an identity matrix

A
How well did you know this?
1
Not at all
2
3
4
5
Perfectly
8
Q

Describe how the elementray row operations relate to the determinant

A
How well did you know this?
1
Not at all
2
3
4
5
Perfectly
9
Q

When is a matrix invertiable

A

If det M ≠ 0 M is invertiable

How well did you know this?
1
Not at all
2
3
4
5
Perfectly
10
Q

Describe the proof that a matrix is invertiable if det M ≠ 0

A
How well did you know this?
1
Not at all
2
3
4
5
Perfectly
11
Q

What is the adjugate of a sqaure matrix A

A

The transpose of the cofactor matrix of A

How well did you know this?
1
Not at all
2
3
4
5
Perfectly
12
Q

How are matrices and their adjugate related

A

If A is an invertiable matrix and B is the adujgate of A

How well did you know this?
1
Not at all
2
3
4
5
Perfectly
13
Q

If A is a matrix and B is the adjugate of A, what is AB

A

AB = (det A)In = BA

How well did you know this?
1
Not at all
2
3
4
5
Perfectly
14
Q

What is det(AB)

A

det(A)det(B)

How well did you know this?
1
Not at all
2
3
4
5
Perfectly
15
Q

Describe the proof that det(AB) = det(A)det(B)
(Don’t need to know)

A
How well did you know this?
1
Not at all
2
3
4
5
Perfectly
16
Q

If we use the LU factorization of a permutation P A of A, then what is det(P)det(A)

A
  • det P det A = det(PA) = det(LU) = det L det U
  • Where P = the row interchanges, L = the lower triangular with ones on the diagonal, and U = an upper triangular matrix
17
Q

What is an eigenvector

A

The vector v ∈ V is an eigenvector of T with eigenvalue
λ ∈ K if v is non-zero and T(v) = λv

18
Q

What is an Eigenspace

A

E*λ * = {v ∈ V |T(v) = λv}.

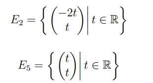
19
Q

How are Eigenspaces written

20
Q

What is the geometric multiplicity of an eigenvalue

A

The dimension of the corresponding λ-eigenspace

21
Q

What is the Linear Independence of Eigenvectors

A
  • Let T : V → V be a linear map. Suppose that v1, . . . , vk are eigenvectors of T with distinct eigenvalues λ1, . . . , λk, respectively
  • Then, the set {v1, . . . vk} is linearly independent
22
Q

When is a field algebraically closed

23
Q

Are the set of real numbers algebraically closed

A

No since the polynomial x^2+1 has no real roots

24
Q

Are the set of complex numbers algebraically closed

25
What is the algebraic multiplicity of λ (an eigenvalue of A)
Then the power k to which the factor x − λ appears in the characteristic polynomial pA(x)
26
What is the trace of a matrix
27
If K is an algebraically closed field and λ1, . . . , λn be all the eigenvalues of A ∈ Mn(K), what is the trace and determinant of A
28
Describe the proof that
29
Describe the proof that