x = 3y - 2
10 - 2x = 8 - 3y
Solve for x and y using Substitution
We substitute the right side of the 1st equation in for “x” in the 2nd equation.
Make sure to use Parenthesis when doing substitution!
10 - 2(3y - 2) = 8 - 3y
10 - 6y + 4 = 8 - 3y
14 = 8 + 3y
6 = 3y
y = 2
Plug y = 2 back into 1st equation, to solve for x: x = 3(2) - 2 = 4
What is a Quadratic Equation?
What is the General Form of a Quadratic Equation?
How would we put x2 - 3x = 2 into General Form, so we can factor it?
A Quadratic equation means that the variable is taken to the 2nd power.
Quadratics often have 2 solutions! Watch out– don’t assume only 1 solution!
The General Form is ax2 + bx + c = 0, where a, b, and c are constants
Subtract 2 from both sides:
x2 - 3x - 2 = 0

Factor x2 - 3x - 28 = 0

Solve by factoring:
x2 - x - 12 = 0
(x - 4) (x + 3) = 0
x = 4 or x = -3
To check, we can use FOIL:
F = First = x*x = x2
O = Outer = x*3 = 3x
I = Inner = -4x
Outer + Inner combines to = 3x - 4x = -x
L= Last = -4*3 = -12
Solve by factoring:
x2 + 10x = 0
Factor out an “x” from each term:
x(x + 10) = 0
x = 0 or (x + 10) = 0
x = 0 or -10
x2 = 25
x = ?
x = 5 OR -5
Remember to look for 2 solutions on Quadratics!

x2 = 2x
This is a “Disguised Quadratic”. It looks different from the General Form. However, it should be manipulated, factored, and solved as a Quadratic (which often gives 2 solutions).
x2 - 2x = 0
x(x - 2) = 0
x = 2 or 0
Common Error (we only get one solution. We miss the x=0 solution):
Divide both sides by x: x = 2
This is similar to the following error: x2 = 16, square root both sides, x = 4
OR, x = -4


Factor x2 - y2
This is very common on GMAT. What do we call it?
Difference between Squares:
x2 - y2 = (x + y) (x - y)
Factor:
4x2 - 25
Difference between Squares:
(2x + 5) (2x - 5)
Factor:
16x4 - 9y2
Difference between Squares:
(4x2 + 3y) (4x2 - 3y)
Factor x2 + 2xy + y2
1: “Difference Between Squares”: x2 - y2 = (x + y) (x - y)
(x + y) (x + y) = (x + y)2
This results in only 1 solution, since it’s a perfect square.
These 3 Special Products are very common:
Factor x2 - 2xy + y2
1: “Difference Between Squares”: x2 - y2 = (x + y) (x - y)
(x - y) (x - y) = (x - y)2
This results in only 1 solution, since it’s a perfect square.
These 3 Special Products are very common:
Solve by factoring:
x2 + 9 = -6x
Add 6x to both sides: x2 + 6x + 9 = 0
(x + 3) (x + 3) = 0
Can also be written as (x+3)2 = 0
x = -3
Only 1 solution, because it’s a perfect square
Factor: a2b2 + ab = 2
Then, find b in terms of a
First, subtract 2 from both sides:
a2b2 + ab - 2 = 0
(ab + 2) (ab - 1) = 0
To check, we can FOIL:
F: ab*ab = a2b2
OI: ab* -1 + ab*2 = ab
L: 2*-1 = -2
To find b in terms of a: (ab+2) = 0 OR (ab - 1) =0
(ab+2) = 0, ab = -2, so b = -2/a OR
(ab - 1) = 0, ab = 1, so b = 1/a
What is |-10| ?
10
It turns a negative value into a positive.
| is the absolute value symbol.
|x| = 4
What is x?
x = 4 or -4


Data Sufficiency:
What is the value of x + 2y ?
(1) x + y = 2
(2) 6x + 12y - 3 = 15
(1) is Insufficient.
(2) is Sufficient.
We don’t always have to know both variables individually, when the question is asking for a combined value.
Watch out for the “C Trap”: when we think we need both statements, but one statement is sufficient.
We can manipulate (2), so that the left side is the same as the question:
Add 3 on both sides: 6x + 12y = 18
Divide by 6 on both sides: x + 2y = 3
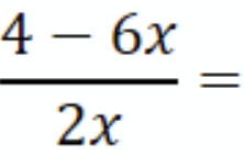
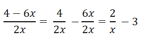
Simplify, by splitting fraction into 2 terms:




What is 4 squared?
4 squared = 42 = 4 * 4 = 16
4 is the base. 2 is the power.
For a power of 2, we use the word “squared”.
(This is because a square with 4 units on each side has an area of 42)

What is 2 cubed?
2 cubed = 2 * 2 * 2 = 23 = 8
For a power of 3, we use the word “cubed”.
(This is because a cube with 2 units on each side has an area of 23)


