Algebra Flashcards

(13 cards)

1
Q

What is the method for expanding two brackets

A

FOIL
First Outside Inside Last

How well did you know this?
1
Not at all
2
3
4
5
Perfectly
2
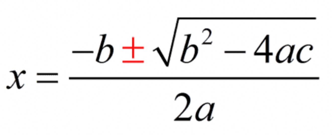
Q

Quadratic formula

A
How well did you know this?
1
Not at all
2
3
4
5
Perfectly
3
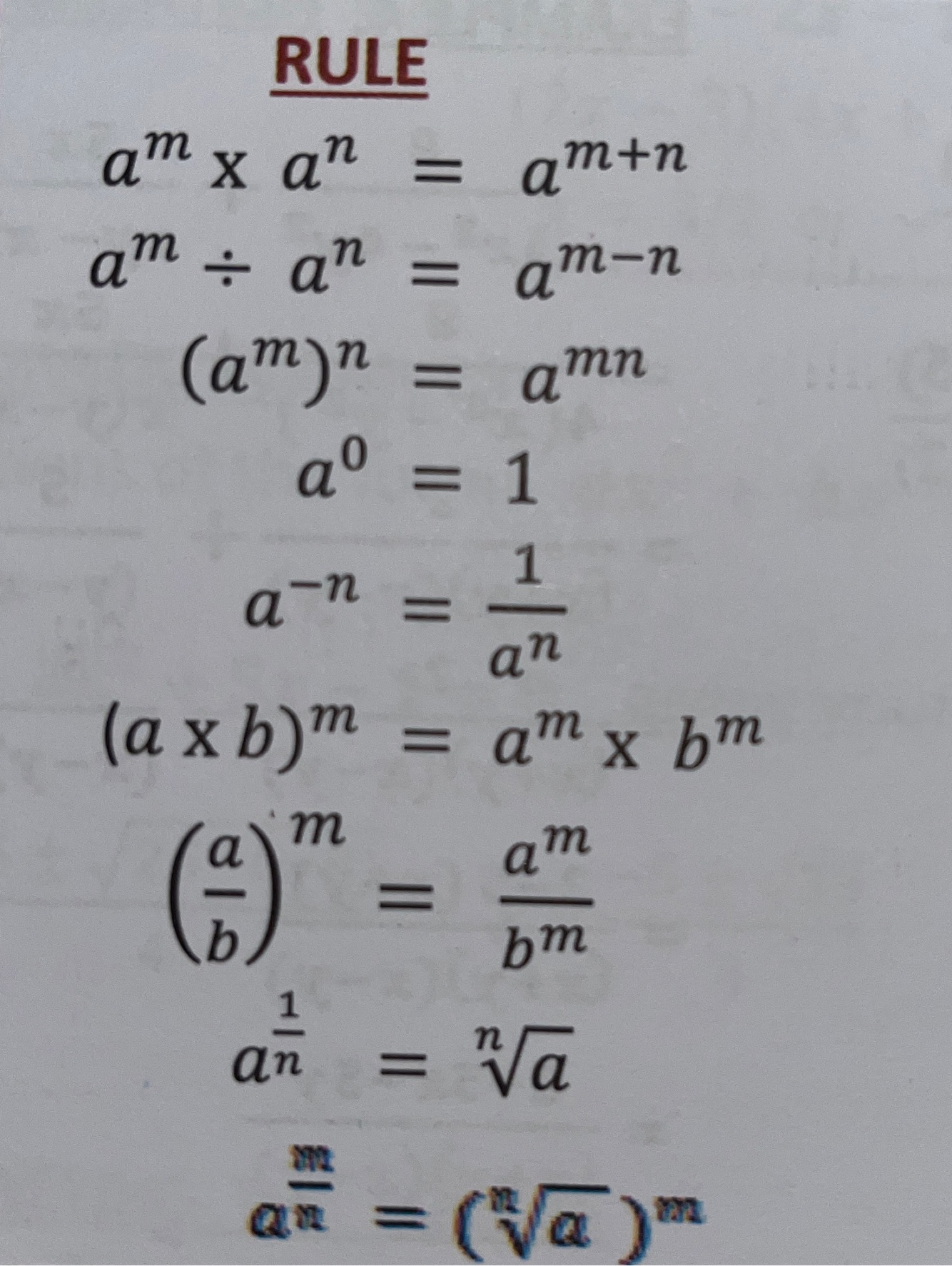
Q

What are the rules of indices

A
How well did you know this?
1
Not at all
2
3
4
5
Perfectly
4
Q

Direct proportion

A

y=kx

How well did you know this?
1
Not at all
2
3
4
5
Perfectly
5
Q

Indirect proportion

A

y=k/x

How well did you know this?
1
Not at all
2
3
4
5
Perfectly
6
Q

General equation of a straight line

A

y = mx + c
m = gradient
c = y intercept

How well did you know this?
1
Not at all
2
3
4
5
Perfectly
7
Q

Gradient formula

A

y2 -y 1 / x2 - x1
Rise / run

How well did you know this?
1
Not at all
2
3
4
5
Perfectly
8
Q

Parallel lines have the same…

A

Gradient

How well did you know this?
1
Not at all
2
3
4
5
Perfectly
9
Q

Formula for ding the length of a side or angle of a right angled triangle

A

SohCahToa
Sinex = opposite/ adjacent
Cosx = adjacent/ hypotenuse
Tanx = opposite/ adjacent

How well did you know this?
1
Not at all
2
3
4
5
Perfectly
10
Q

Pythagorus theorem

A
How well did you know this?
1
Not at all
2
3
4
5
Perfectly
11
Q

The gradient of a perpendicular line

A

The opposite of the line given

How well did you know this?
1
Not at all
2
3
4
5
Perfectly
12
Q

Midpoint of a line formula

A
How well did you know this?
1
Not at all
2
3
4
5
Perfectly
13
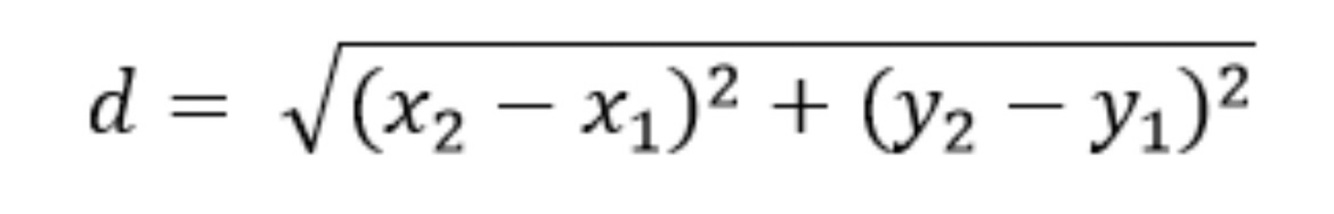
Q

Length of a line on a graph formula

A
How well did you know this?
1
Not at all
2
3
4
5
Perfectly