Aula 31 Flashcards

(50 cards)

1
Q

Longe do mar, os invernos sao …. e os verões são….

A

Mais frios

Mais quentes

How well did you know this?
1
Not at all
2
3
4
5
Perfectly
2
Q

Perto do mar, os invernos são…., e os verões são……

A

Menos frios

Menos quentes

Sao nutella

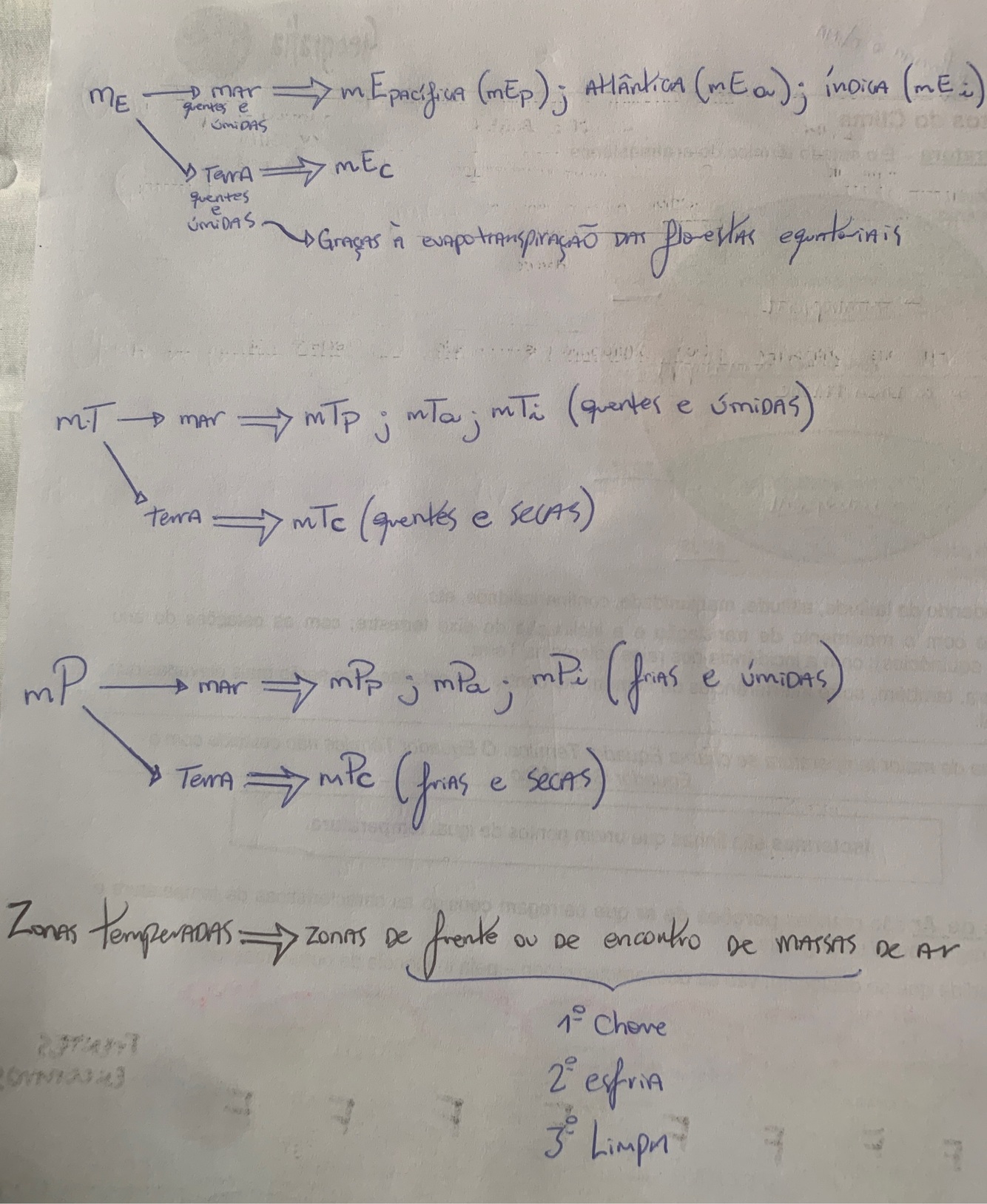
How well did you know this?
1
Not at all
2
3
4
5
Perfectly
3
Q

Fatores do clima: latitude

A

Quanto menor a latitude mais quente; mais vegetação; mais pluviosidade

How well did you know this?
1
Not at all
2
3
4
5
Perfectly
4
Q

Fatores do clima: altitude

A

Quanto maior a altitude menor a temperatura

A cada 180 metros se perde 1 grau celsius

How well did you know this?
1
Not at all
2
3
4
5
Perfectly
5
Q

A atmosfera se aquece por….

A

Irradiação

Primeiro aquece o chao e dps vai subindo

How well did you know this?
1
Not at all
2
3
4
5
Perfectly
6
Q

Fatores do clima: continentalidade e maritimidade

A

Quanto mais perto da agua menor é a variação termica

Continentalidade = distância da agua
Maritimidade = proximidade da agua

Continentes aquecem mais e esfriam mais e em menos tempo

Por isso:

How well did you know this?
1
Not at all
2
3
4
5
Perfectly
7
Q

Fatores do clima: albedo

A

Capacidade de refletir calor varia dependendo da cor

Quanto mais clara = maior o albedo (reflexao de energia)

How well did you know this?
1
Not at all
2
3
4
5
Perfectly
8
Q

O mar possui … albedo

A

Albedo = capacidade de refletir energia

POUQUISSIMA

How well did you know this?
1
Not at all
2
3
4
5
Perfectly
9
Q

Fator do clima: correntes marítimas quentes

A

Estimulam a evaporação e condensação; produzem climas chuvosos

How well did you know this?
1
Not at all
2
3
4
5
Perfectly
10
Q

Fatores do clima: correntes marítimas frias

A

Estabilizam o ar

Responsaveis pelos desertos

How well did you know this?
1
Not at all
2
3
4
5
Perfectly
11
Q

Luanda, a capital de Angola, é banhada pela corrente..

A

Fria de benguela

How well did you know this?
1
Not at all
2
3
4
5
Perfectly
12
Q

Recife, pernambuco, é banhada pela corrente….

A

Quente brasileira

How well did you know this?
1
Not at all
2
3
4
5
Perfectly
13
Q

Correntes marítimas quentes importantes

A

Golfo ou gulf stream: costa sudeste dos eua

How well did you know this?
1
Not at all
2
3
4
5
Perfectly
14
Q

Corrente marítima fria importante:

A

A de benguela = responsável pelo deserto de kalahari e pelo deserto da namibia

How well did you know this?
1
Not at all
2
3
4
5
Perfectly
15
Q

Correntes marítimas importantes: das guianas e brasileira

A

Banham is litorais norte e leste do Brasil

Ambas sao quentes

How well did you know this?
1
Not at all
2
3
4
5
Perfectly
16
Q

Correntes marítimas importantes: corrente de Falkland ou malvinas

A

Fria

Atinge o litoral sul do brasil

How well did you know this?
1
Not at all
2
3
4
5
Perfectly
17
Q

Correntes marítimas importantes: Humbold ou do peru

A

Fria

Responsavel pelo deserto do atacama

How well did you know this?
1
Not at all
2
3
4
5
Perfectly
18
Q

Sinonimo para corrente fria do peru

A

Corrente de humbold

How well did you know this?
1
Not at all
2
3
4
5
Perfectly
19
Q

Correntes marítimas importantes: corrente do labrador

A

Fria

How well did you know this?
1
Not at all
2
3
4
5
Perfectly
20
Q

Fatores do clima: vegetacao

A

Mais veg = mais evapotranspirações = mais chuva

How well did you know this?
1
Not at all
2
3
4
5
Perfectly
21
Q

Elementos do clima: temperatura

22
Q

Linhas isotermas…

A

Unem pontos de mesma temperatura

23
Q

Elementos do clima: massas de ar tabela

24
Q

Massas de ar beoba

25
Massas de ar que atuam no Brasil
26
Fenômeno da friagem
É um fenômeno climático que acontece na Amazônia e também no nordeste brasileiro, em virtude da penetração da massa de ar polar atlântica
27
Principal característica do clima tropical
Verão chuvoso e o inverno seco
28
Massas de ar: Explicação do clima tropical no centro oeste do Brasil
Verão chuvoso, Inverno seco Verão chuvoso: a massa equatorial atlântica Se une com a massa equatorial continental, o que gera chuvas Inverno seco: a massa tropical continental tomar conta do Brasil Central
29
O clima do Centro-Oeste do Brasil é causado principalmente pelas…
Massas de ar
30
Qual é a massa de ar que mais interferem no Rio Grande do Sul?
Polar atlântica
31
Explicação de chuva orográfica, o esquema baseado no Nordeste do Brasil
32
Elementos do clima: umidade atmosférica
33
Exemplos de precipitações superficiais
Nevoeiro Ou neblina, orvalho, geada
34
Exemplos de precipitações não superficiais
Chuva, granizo, neve
35
Isoietas São linhas que unem...
Pontos de mesma média pluviométrica
36
Tipos de nuvens: cirros
São as nuvens mais altas Causam neve
37
Tipos de nuvens: estratos
500 e 1000 m Tem forma de camada horizontal Podem dar chuva
38
Tipos de nuvens: cúmulos
2 e 6 km Semelhantes a flocos de algodão Causam as chuvas de verão Quando associadas aos nimbos, geram os chuvas de granizo
39
Tipos de nuvens: Nimbús
São as mais baixas e escuras, geram chuvas de verão
40
Principais eventos causados por nuvens cúmulos nimbos
Furacão, tufão, granizo, tornado
41
Tipos de chuva: frontal
Ocasionada pelo contato entre duas massas de ar de características diferentes Chuva típica do Rio Grande do Sul
42
Qual é a chuva típica do Rio Grande do Sul?
Chuva frontal
43
Tipos de chuva: chuva orográfica ou de relevo
Quando relevos dificultam a passagem de massas de ar Barlavento: face umida do relevo pq fica voltada pra chuva Sotavento: face seca do relevo
44
Em duas cidades de mesma latitude, em qual chove mais?
Aqui tiver mais perto da água
45
… É o único desses Eventos climáticos “de ares do mal” que tem origem Continental, e não marítima
Tornado
46
Tipos de chuva: convectiva ou de verao
Forte, rápido Muito normal na Amazônia Resulta da ascensão vertical do ar
47
Verdade ou mentira: a tendência chover muito pouco nas regiões polares
Verdade
48
Elementos do clima: pressão atmosférica
49
Zonas de alta e baixa pressão tabela esquema
50
Globo especial para apenas ventos