What information does ΔGo’ tell you about a reaction?
The spontaneity and direction of a reaction under standard biochemical conditions, where all liquids are at 1 M solutions, the temperatue is 310 K, the pH is 7, and the concentration of H+ is 1 x 10-7 M and Mg2+ is I mM
Under biological standard conditions, what is the concentration of H+?
1 x 10-7 M
Under biological standard conditions, what is the concentration of Mg2+?
1 mM
What information does ΔG’ tell you about a reaction?
The spontaneity and direction of a reaction under real or actual conditions
What is the relationship between these two thermodynamic parameters ΔGo’ and ΔG’?
ΔG’ = ΔGo’ + RT lnQ
ΔG’ = -RT lnk + RT lnQ
What is the relationship between Q and K? How do these parameters provide us with similar information about a biochemical reaction?
Q = K reaction at equilibrium
Q < K reaction moves toward products (spontaneous)
Q > K reaction moves toward reactants (nonspontaneous)
What does the value of K tell us about ΔGo’?
If K > 1, then ΔGo’ < 0 (spontaneous)
If K < 1, then ΔGo’ > 0 (non-spontaneous)
What does the value of Q tell us about ΔG’?
If Q > 1, then ΔG’ < 0 (spontaneous)
If Q < 1, then ΔG’ > 0 (nonspontaneous)
What is the equation for determining Q using standard Gibbs free energy?
K = e-ΔGo’/RT
The cell cannot let reactions with large equilibrium constants to reach equilibrium. Why?
At very high concentrations of a metabolite, the osmotic pressure of the cell becomes very high and the solubility of the metabolite decreases
What does it mean for a reaction to operate “far from equilibrium”?
If Q and K are within 1 to 2 orders of magnitude, the reaction is near equilibrium; if Q and K are outside of this range, then the reaction is considered to be “far from equilibrium”
If Q = 1, what do we know about the standard Gibbs Free energy and the actual Gibbs Free energy?
If Q = 1, then ΔGo’ = ΔG’
Not all reactions with a ΔGo’ are non-spontaneous. List two different ways to drive a reaction towards the products even if it has a ΔGo’
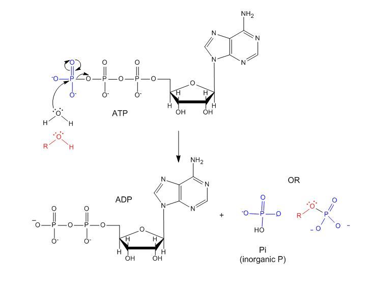
The hydrolysis of ATP is what type of reaction?
A nucleophilic substitution reaction
What is the mechanism of the hydrolysis of ATP?
What type of mechanism does the active site of the enzyme that catalyzes the hydrolysis of ATP use?
General acid-base catalysis
Why are phosphocreatine and ATP considered “high-energy” compounds?
Because upon hydrolysis of the compounds, large amounts of energy are released
Other high-energy compounds include ADP, phosphoenolpyruvate, and acetyl coenzyme A. Why is the hydrolysis of these compounds so thermodynamically favorable?
Because their immediate products can be stabilized via resonance, tautomerization, and/or ionization relative to the products
Why is ADP considered a “high energy” compound?
Because upon its hydrolysis, it produces the immediate product protonated AMP, which can undergo ionization not present in the reactants (in addition to resonance via the phosphate ion)
Why is phosphoenolpyruvate considered a “high energy” compound?
Because upon its hydrolysis, its immediate product is an enol, which can then tautomerize to a keto (AKA pyruvate), a far more stable compound that the reactant

Why is acetyl-coenzyme A considered a “high energy” compound?
Because upon hydrolysis, acetyl-CoA is converted to acetic acid, which can undergo ionization and further resonance thereby increasing the stability of the products relative to the reactants
What is the driving force for ATP hydrolysis?
The stabilization of products relative to the reactants
What are things to look for when considering why product stabilization drives ATP hydrolysis? Three things were discussed in class.
Why is AMP not considered “high energy”?
Because upon its hydrolysis, it produces inorganic phosphate and a non-ionizable product