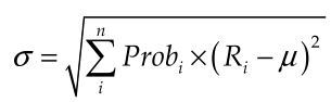
Probability Weighted Standard Deviation
Expected Utility
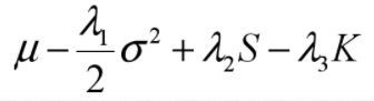
Expected Utility with Higher Moments
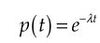
Expected Utility Using VaR
Expected Utility of DB Fund
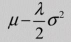
Expected Utility of DB with Liability Growth
Weight of Risky Asset in DB Plan with Liability Growth
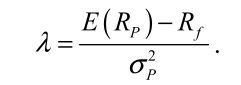
Degree of Risk Aversion
Asset Class Return
Risk Free
+
Expected Inflation
+
Risk Premium
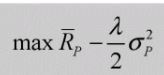
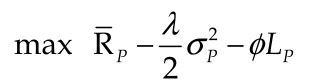
MVO objective function
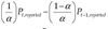
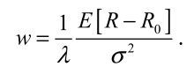
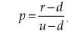
Optimal Weight of Risky Asset
Hurdle Rate Criteria
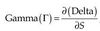
Information Ratio in terms of information coefficient and breadth
Information Ratio with Transfer Coefficient
Information Ratio using Alpha
Beta of New Portfolio using futures for Tactical Asset Allocation
F = Notional amount of futures
P = Size of portfolio
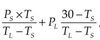
Market Value Adjusted for Liquidity Preference
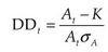
Estimation Error
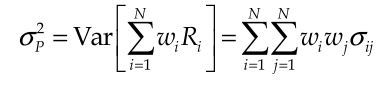
Portfolio Variance
Marginal Contribution of Risk to Total Portfolio
Beta
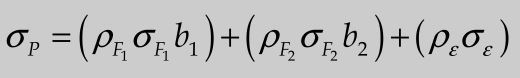
Portfolio’s Total Risk in Terms of Risk Factor Contributions
Risk of 2-asset portfolio
Volatility Weighted Weight