2025 Year 12 A level Maths > Chapter 11 Integration > Flashcards
What is the formula for Area A?
If dy/dx=x^n, how do you find the function y?
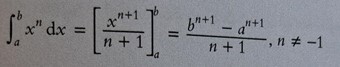
How do you calculate a definite integral?