What is a composite?
Multiphase material that is artificially made
A combination of two or more individual materials
What is the primary design goal of composites (ex)? What is this principle called?
Obtaining a more desirable combination of properties. For instance, low density and high strength
Principle of combined action
What are the two phase types of composites?
Matrix- is continuous
Dispersed- is discontinuous and surrounded by matrix
What is the purpose of the matrix phase?
1) transfer stress to the dispersed phase
2) protect the dispersed phase from the environment
What are three types of matrix/dispersed phase relationships?
MMC (metal)
CMC (ceramic)
PMC (polymer)
What is the purpose of MMC, CMC, or PMC dispersed phase?
MMC: increase σy (yield strength), TS, and creep resistance
CMC: increase K sub IC (fracture toughness)
PMC: increase E (mod. of elasticity), TS, σy (yield strength), and creep resistance
What are the three types of the dispersed phase?
particle, fiber, and structural
What are the four classifications of composites?
1) particle-reinforced
2) fiber-reinforced
3) structural
4) nanoparticles
What are the two classifications of particle-reinforced composites?
1) large-particle
2) dispersion-strengthened
What are the two classifications of fiber-reinforced composites?
1) continuous (aligned)
2) discontinuous (short)
What are the 2 categories of discontinuous (short) fiber-reinforced composites?
1) aligned
2) randomly oriented
What are the two categories of structural composites?
1) laminates
2) sandwich panels
What are three examples of particle-reinforced composites?
1) spheroidite steel
2) WC/ Co cemented carbide
3) automobile tire rubber
What are the matrix/particle components in spheroidite steel?
matrix: alpha ferrite
particles: cementite Fe3C
What are the matrix/particle components in WC/Co cemented carbide?
matrix: cobalt
particles: WC
What are the matrix/particle components in automobile tire rubber?
matrix: rubber
particles: carbon black
What is concrete’s classification?
particle-reinforced composite
What is concrete made from?
gravel+sand+cement+water
sand fills voids between gravel particles
What is reinforced concrete? Why do we do it?
concrete reinforced with steel rebar or remesh
it increases strength- even if cement matrix is cracked
How is prestated concrete formed?
1) rebar/remesh placed under tension during setting of concrete
2) tension is released by setting places concrete in a state of compression
How do you fracture concrete?
applied tensile stress must exceed compressive stress
What is posttensioning?
tightening nuts to place concrete under compression
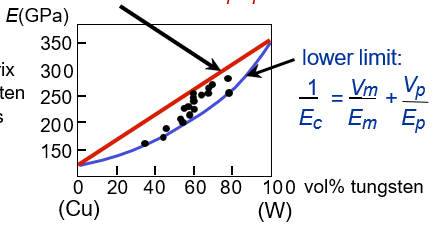
What are the properties of the Elastic modulus of composites?
Elastic modulus: Ec
two “rule of mixture” extremes:
upper limit: Ec= VmEm + VpEp
lower limit: 1/Ec = Vm/Em + Vp/Ep
What is a composite’s Elastic modulus, Ec, also applied to?
Electrical conductivity, σe: replace E’s in equations with σe’s
Thermal conductivity, k: replace E’s in equations with k’s