Hydrodynamic Interactions
relates to diffusive transport of particle in solvent
Kinematic Velocity
relates information on how fast particle/signal moves through system

Retardation Time
how fast infirmation flows

Schmidt Number
relates inforation about mass transfer

Retardation Effects
can neglect retardation effects

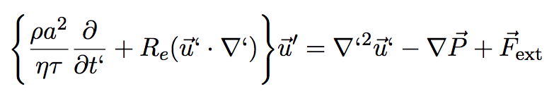
Navier-Stokes Equation
describes motion of viscous fluid

Reynolds Number
ratio of inertial and viscous forces

Navier-Stokes Simplifying Assumptions

HI Methods
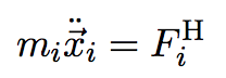
Stokesian Dynamics
conservative force-free particles

HI (Microscopic Description)
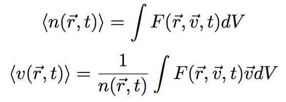
HI (Macroscopic Descroption)

HI (Mesoscopic Description)
