Chapter 3: Molecular Forces Flashcards

(57 cards)

1
Q

Give the power law that defines short and long range intermolecular forces

A

U(r) = potential energy
α = constant
r = separation distance
k = positive integer

How well did you know this?
1
Not at all
2
3
4
5
Perfectly
2
Q

In the equation for intermolecular forces, k is a positive integer so the greater it is, the ______ the potential energy. If k is smaller, the rate at which potential energy decreases with separation difference is _______.

A

Lower
Greater

How well did you know this?
1
Not at all
2
3
4
5
Perfectly
3
Q

In the equation for intermolecular forces, if k ≤ 3 the force is ____ ______ and if k > 3 the force is _____ ______.

A

Long-ranged
Short-ranged

How well did you know this?
1
Not at all
2
3
4
5
Perfectly
4
Q

Give the equation for Coulomb’s Law

A

q = charge
ε_0 = permittivity of a vacuum
ε_r = relative permittivity of a medium

How well did you know this?
1
Not at all
2
3
4
5
Perfectly
5
Q

What is Coulomb’s Law (in words)?

A

The potential energy between two point charges is proportional to the product to the two charges divided by the distance of separation.

How well did you know this?
1
Not at all
2
3
4
5
Perfectly
6
Q

The permittivity of a medium varies greatly depending on the ____ __ ______ and its _________. It can also be used to calculate the _______ ________ __________.

A

Type of medium
Temperature
Relative electric permittivity

How well did you know this?
1
Not at all
2
3
4
5
Perfectly
7
Q

What is the relative electric permittivity often called?

A

The dielectric constant, κ

How well did you know this?
1
Not at all
2
3
4
5
Perfectly
8
Q

Define Bjerrum length, l_B

A

The charge separation at which the Coulomb potential between two ions equals the thermal energy so U = k_b x T. It is used to demonstrate the effect of a mediums polarisability.

How well did you know this?
1
Not at all
2
3
4
5
Perfectly
9
Q

Substitute the Bjerrum length into the Coulomb equation

A

k_B = Boltzmann constant
T = temperature
l_B = Bjerrum length
q = charge
ε_0 = permittivity of a vacuum
ε_r = relative permittivity of a medium

How well did you know this?
1
Not at all
2
3
4
5
Perfectly
10
Q

Coulomb interactions are substantially stronger in ___ ______ media than in _____ media.

A

Non polar
Polar

How well did you know this?
1
Not at all
2
3
4
5
Perfectly
11
Q

Define Born energy

A

The energy required for the alignment of molecules around a charge, q, in a medium due to a considerable amount of work being done for this alignment to occur. It is also known as the hydration energy in the case where water is the solvent.

How well did you know this?
1
Not at all
2
3
4
5
Perfectly
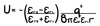
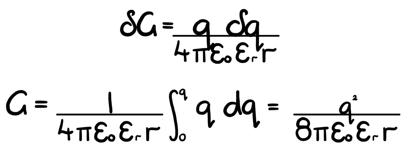
12
Q

Give the equation for the Born energy

A

G = work done
q = charge of ion
∂q = charge of surrounding solvent dipoles

How well did you know this?
1
Not at all
2
3
4
5
Perfectly
13
Q

Define electric dipole

A

Two equal and opposite charges a fixed distance apart.

How well did you know this?
1
Not at all
2
3
4
5
Perfectly
14
Q

Define induced dipole

A

A charge separation that only exists in the presence of an external electric field.

How well did you know this?
1
Not at all
2
3
4
5
Perfectly
15
Q

Define permanent dipole

A

Dipoles that exist due to a separation of charge that is always present within the molecule even without an external electric field being applied.

How well did you know this?
1
Not at all
2
3
4
5
Perfectly
16
Q

What is the dipole moment of a permanent dipole?

A

µ = ql

µ = dipole moment
q = charge of each pole
l = separation distance

How well did you know this?
1
Not at all
2
3
4
5
Perfectly
17
Q

What are the units of dipole moments?

A

Debyes, D

How well did you know this?
1
Not at all
2
3
4
5
Perfectly
18
Q

How can the potential energy between a dipole and a charge be calculated?

A

By taking the sum of the two dipole interactions: the charge and the positive pole and the charge and the negative pole.

How well did you know this?
1
Not at all
2
3
4
5
Perfectly
19
Q

The potential energy between a charge and a dipole depends on the _______ _______ of separation distance.

A

Inverse square

How well did you know this?
1
Not at all
2
3
4
5
Perfectly
20
Q

Give the equation for the potential energy between one point charge and one electric dipole

A

µ = dipole moment
q = charge
r = separation distance
ε_0 = permittivity of a vacuum
ε_r = relative permittivity of a medium

How well did you know this?
1
Not at all
2
3
4
5
Perfectly
21
Q

What are the two variables for a rotating dipole?

A
  • Ability to rotate about r-axis
  • Ability to vary in angle, θ
How well did you know this?
1
Not at all
2
3
4
5
Perfectly
22
Q

How is the average potential energy found for a point charge and a rotating dipole?

A

The sum of each possible potential energy (based on rotation and angle) is calculated after considering the probability of each variation occurring.

How well did you know this?
1
Not at all
2
3
4
5
Perfectly
23
Q

What is the potential energy equation for one point charge and one freely rotating electric dipole?

A

U(r) = potential energy
µ = dipole moment
q = charge
r = separation distance

24
Q

What is the potential energy equation for two electric dipoles in fixed position?

A

U(r) = potential energy
µ = dipole moment
r = separation distance

25
What is the potential energy equation for two freely rotating electric dipoles?
U(r) = potential energy µ = dipole moment r = separation distance
26
When a charge is close to a boundary between two media with different relative permittivities it will be attracted to the region with _______ permittivity. From here induced dipoles surround the charge, meaning it can’t go back to the _____ region
Higher Lower
27
Define image force
The electrostatic force acting on a charge that has moved from a region of lower permittivity to higher permittivity, meaning that it can no longer return to the original region.
28
Give the equation for the image force (EXTRA: what is the charge at the ‘image’ point?)
2r = distance between two charges q = charge ε_r1 = lower permittivity ε_r2 = higher permittivity (Sign changes for ε_r2 < ε_r1) EXTRA: q’ = -q(ε_r2 - ε_r1)/(ε_r2 + ε_r1)
29
What is a London force (also known as a dispersion force)?
A temporary attractive force acting between atoms/ molecules that do not have a net charge due to the formation of temporary dipoles within these molecules. This happens because the molecules are polarisable.
30
Define polarisability
The ability of an atom/ molecule to respond to an applied electric field by redistributing its internal charge (in the simplest case forming a temporary dipole that points in the direction opposite to the applied field). It is the induced dipole moment per unit of applied electric field.
31
Give the equation for an induced dipole moment
µ = induced dipole moment α = polarisability E = electric field
32
What is the equation for volume polarisability?
α’ = volume polarisability
33
Give the equation for the potential energy between a fixed point charge and a fixed induced dipole
α’ = volume polarisability r = separation distance q = charge
34
Give the equation for the potential energy between a permanent dipole and an induced dipole
µ = dipole moment α’ = volume polarisability
35
Define cation
A positively charged ion.
36
Define aromatic ring
A ring-shaped molecular structure made of 6 carbon atoms joined by three double bonds.
37
Give two reasons why there is a strong attraction when a cation approaches an aromatic ring
- The cation induces a dipole by polarising the electrons in the aromatic ring. - Aromatic rings have non-uniform charge distribution even without polarisation. This is because electrons are found in π orbitals for double bonds.
38
Describe the charge distribution of an aromatic ring
There are 6 π orbitals in an aromatic ring which form two electronegative regions above and below the ring. There is a positive region between the two so the charge distribution can be represented by two electric dipoles.
39
What is an important role of cation-π interaction?
Stabilisation of large molecular structures.
40
Give an example of how cation-π interactions are involved in stabilisation
Amino acids interact with other positively charged amino acids containing aromatic side chains. The cationic ligands and substrates act as binding sites for the protein.
41
What is the interaction energy of cation-π interactions?
~80 kJ/mol.
42
Define dispersion forces
The weakest intermolecular force, these forces act between molecules with complex shapes and between large macroscopic bodies. They have an interaction energy proportional to 1/r^6.
43
Give the equation for dispersion forces
α= volume polarisability I = ionisation energy n = refractive index of medium
44
What is the interaction energy of dispersion forces?
~2 kJ/mol.
45
Define hydrogen bond
A type of dipole-dipole attraction that occurs when the relatively negative electron of a hydrogen atom is around a relatively positive acceptor. This is an important interaction in biological molecules and occurs in water and in stabilising DNA and other biological molecules.
46
How many hydrogen bonds form between cytosine and guanine?
Three
47
How many hydrogen bonds form between adenosine and thymine?
Two
48
What is the potential energy of hydrogen bonds?
1-5 x 10^-20 J
49
What is the interaction energy of hydrogen bonds?
~20 kJ/mol.
50
Hydrophobic forces are an example of an ________ force because they impact the entropy in the surrounding area.
Entropic
51
What is the job of a hydrophobic force?
To draw non-polar, water-hating molecules (and surfaces) together separating them from water and polar, water-loving molecules.
52
Why does water form an ice-like structure around hydrophobic molecules?
It is the most energetically favourable structure and entropy decreases because the orientation of water is restricted.
53
What is the interaction energy of hydrophobic forces?
3.5 - 5.5 kJ/mol.
54
Define steric repulsion’s
A repulsive force due to the fact that two objects cannot occupy the same space at the same time. It originates from the Pauli exclusion principle (two electrons cannot have the same quantum state) which results in a very steep rise in energy when the electron shells of two atoms begin to penetrate one another.
55
What is the Lennard-Jones potential?
r_0 = distance parameter (distance at which potential is 0) ε = energy parameter (energy at which intermolecular potential is 0) 1/r^12 = steric repulsion 1/r^6 = attractive dispersion force
56
Describe the shape of the Lennard-Jones potential
57
Rank the intermolecular interactions from the strongest to the weakest potential energies
- Covalent bond - Coulomb interaction - Hydrogen interaction - Hydrophobic interaction - Dispersion interaction