Chapter 5: Continious Functions Flashcards

(18 cards)

1
Q

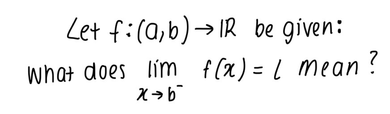
Notation for a neighbourhood and a deleted neighbourhood

A
How well did you know this?
1
Not at all
2
3
4
5
Perfectly
2
Q
A
How well did you know this?
1
Not at all
2
3
4
5
Perfectly
3
Q
A
How well did you know this?
1
Not at all
2
3
4
5
Perfectly
4
Q
A
How well did you know this?
1
Not at all
2
3
4
5
Perfectly
5
Q
A
How well did you know this?
1
Not at all
2
3
4
5
Perfectly
6
Q
A
How well did you know this?
1
Not at all
2
3
4
5
Perfectly
7
Q

Example

A
How well did you know this?
1
Not at all
2
3
4
5
Perfectly
8
Q
A
How well did you know this?
1
Not at all
2
3
4
5
Perfectly
9
Q

State the definition of a function being continuous at a point c

A
How well did you know this?
1
Not at all
2
3
4
5
Perfectly
10
Q

Special case: what is the defintion of continuity at an interior point of an open interval

A
How well did you know this?
1
Not at all
2
3
4
5
Perfectly
11
Q

How would the general definition change if the function is defined over closed intervals?

A
How well did you know this?
1
Not at all
2
3
4
5
Perfectly
12
Q

What is the theorem of the relation of limits and sequences ?

A
How well did you know this?
1
Not at all
2
3
4
5
Perfectly
13
Q
A
How well did you know this?
1
Not at all
2
3
4
5
Perfectly
14
Q

Algebra of limits for functions

A
How well did you know this?
1
Not at all
2
3
4
5
Perfectly
15
Q
A
How well did you know this?
1
Not at all
2
3
4
5
Perfectly
16
Q

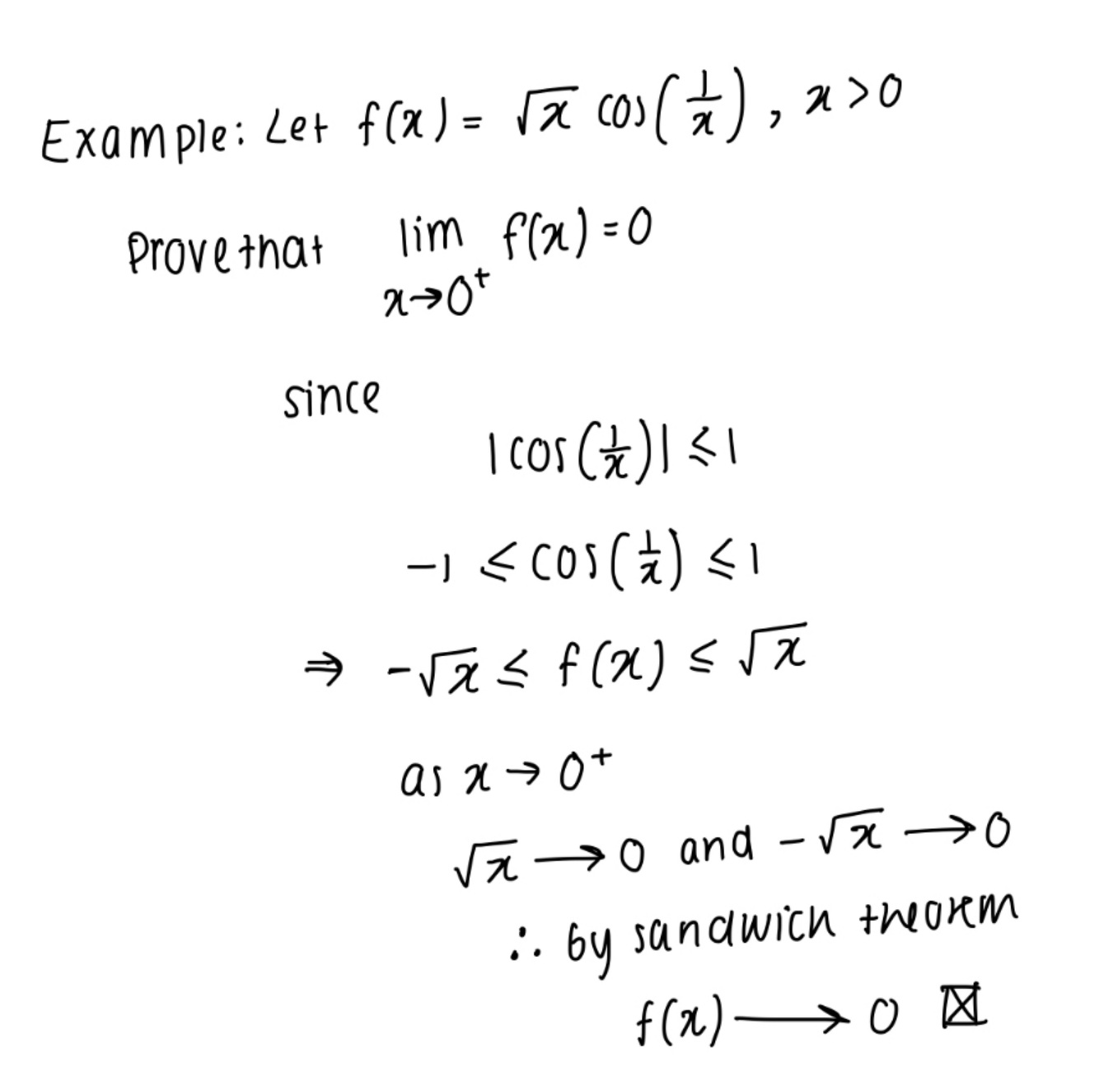
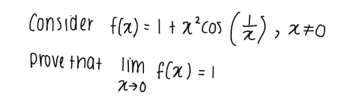
What is the sandwich theorem for continuous functions?

17
Q

Prove the sandwich theorem for continuous functions:

A

Just convert to sequential