diffusion
mass transport by atomic motion
interdiffusion

self diffusion
In pure metals self-diffusion occurs where there is no net mass transport, but atoms migrate in a random manner throughout the crystal. In alloys inter-diffusion takes place where the mass transport almost always occurs so as to minimize compositional differences.

vacancy diffusion
an atom breaks its bonds and jumps into neighboring vacant site

interstitial diffusion
solute atoms which are small enough to occupy interstitial sites diffuse by jumping from one interstitial site to another. The unit step here involves jump of the diffusing atom from one interstitial site to a neighboring site.

case hardening
is a technique in which a metal surface is reinforced by the adding of a thin layer of another metal alloy that is more durable, increasing the object’s life.
doping
In semiconductor production, doping is the intentional introduction of impurities into an intrinsic semiconductor for the purpose of modulating its electrical, optical and structural properties. The doped material is referred to as an extrinsic semiconductor

how do we quantify the rate of diffusion

steady-state diffusion
is an unchanging condition, system or physical process that remains the same even after transformation or change



if temperature increase the diffusion coefficient will _______?
if temperature increase the diffusion coefficient will increase
diffusion and temperature equation

Fick’s second law

the rate of accumulation (or depletion) of concentration within the volume as proportional to the local curvature of the concentration gradient.

nonsteady state diffusion
concentration changes with both time and distance ( rate of change is time-dependent )

non steady-state diffusion example 1


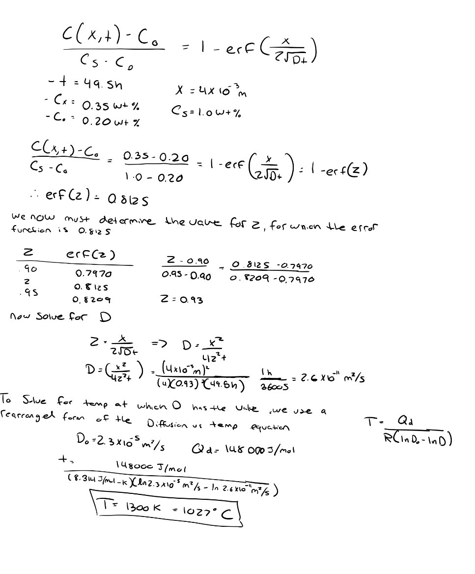
non-steady state diffusion example 2


example determining time to reach a conc level


diffusion is faster for
diffusion is slower for