Orthogonal
inner product = 0
Orthonormal
Orthogonal + norm = 1
How to normalize a vector
u = 1 / ||v||
Theorem: If S is an orthogonal set of nonzero vectors in an inner product space, then
S is linearly independent
Conditions for being a basis for a vector space V
Coordinates relative to orthonormal bases
If S = {v1, v2…vn} is an orthogonal basis for an inner product space V, and if u is any vector in V, then u =
Coordinates relative to orthonormal bases
If S = {v1, v2…vn} is an orthonormal basis for an inner product space V, and if u is any vector in V, then u =
If W is a subspace of an inner product space V, then every vector (u) in W can be expressed as:
u = w1 + w2 = projWu + projW⊥u
(perpendicular & parallel components)
Every non-zero inner product space has an ___
orthonormal basis
Why do you use the Gram-Schmidt process?
To convert a basis into an orthogonal basis
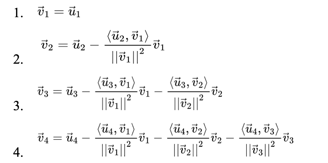
Gram-Schmidt process procedure:
If W is an inner product space, then:
Every orthogonal/orthonormal set of non-zero vectors can be enlarged to an orthogonal/orthonormal basis for W
Consistent linear system:
Consistent linear system: least squares error = 0
Least squares solution of Ax = b
the vector x that minimizes ||b – Ax||
How to find the least squares solution if A is not invertible?
If A not invertible ( least squares solutions) must parametrize → let t = constant in least squares error vector
Least squares error vector
b - Ax
Least squares error
||b - Ax||
Normal equation
ATAx = ATb
If W is a subspace of inner product space V & b is a vector in V:
best approximation to b from W:
|| b – projWb || < ||b - w||
What is special about ATA?
SYMMETRIC
For every linear system Ax = b:
If W in col(A) & x is any least squares solution of Ax = b, then the orthogonal projection of b on W is:
projWb = Ax
If A(m x n) the following statements are equivalent:
If ATA is invertible we can solve for least squares solution directly:
x = (ATA)-1 ATb