Standard Form of a Line

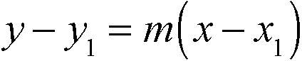
Point-Slope Formula

Slope Intercept Form
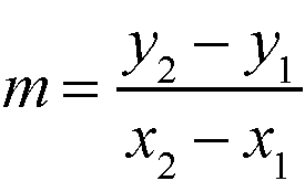
Slope Formula
Distance Formula
Midpoint Formula
General Form for a Quadratic
Vertex (Standard) Form for a Quadratic
Quadratic Formula
Vertex of a Parabola
Equation of a Circle
Difference of Squares
Sum of Squares
Prime
Difference of Cubes
Sum of Cubes
1
Undefined