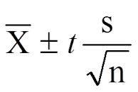
1 Sample Z-Interval Conditions
SRS, Normality, σ is known
1 Sample Z-Interval Formula

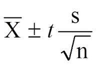
1 Sample T-Interval Conditions
SRS, Normality, σ unknown
1 Sample T-Interval Formula

Matched Pairs T-Interval Conditions
SRS, Normality, σ unknown, two dependent samples
Matched Pairs T-Interval Formula

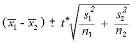
2 Sample T-Interval Conditions
SRS for each sample, normality, two independent samples, σ unknown
2 Sample T-Interval Formula

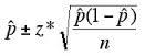
1 Proportion Z-Interval Conditions
SRS, normality [np > 10, n(1-p)>10], population 10x sample size
1 Proportion Z-Interval Formula

2 Proportion Z-Interval Conditions
SRS for each sample, two independent samples, normality [np>10, n(1-p)>10], population 10x sample size
2 Proportion Z-Interval Formula
