Consumption Based Model Flashcards

(38 cards)

1
Q

Motivation

A

Fundamental decision of any investor

how much to save and how much to consume
how to allocate savings across (risky) assets

Most basic pricing equation is the first-order condition for that decision, equalizes marginal utility loss of consuming less today to buy more of the asset

marginal utility gain of consuming more of asset’s payoff in future

Conclusion: we should use an investor’s marginal consumption utility to discount payoffs → this is the consumption-based model of asset pricing

How well did you know this?
1
Not at all
2
3
4
5
Perfectly
2
Q

Utility functions and expected utility

A

A utility function maps outcomes for an individual to a numerical index

utility index measures the felicity or satisfaction of an individual

numerical value itself has no meaning,

U(x) and aU(x) + b with a > 0 describe the same (risk) preferences

If outcomes are uncertain (given by random variable x), we weight utilities for different outcome realizations by their probabilities, leading to expected utility:

How well did you know this?
1
Not at all
2
3
4
5
Perfectly
3
Q

common utility functions

A
How well did you know this?
1
Not at all
2
3
4
5
Perfectly
4
Q

Properties of Utility functions

A

Utility functions often satisfy two important properties Monotonicity (non-satiation): U′(x) > 0

Concavity (risk aversion): U′′(x) < 0

A risk averse individual always prefers the expected outcome to a risky one: U (E[x]) ≥ E[U (x)]

How well did you know this?
1
Not at all
2
3
4
5
Perfectly
5
Q

How much risk aversion is empirically plausible?

A

research on risk preferences suggests that (absolute) risk aversion declines with wealth

consistent with CRRA utility but not CARA and quadratic
(of course, there are other possibilities than these three)

for CRRA parameter γ, evidence typically suggests values in the range 1–10, while

How well did you know this?
1
Not at all
2
3
4
5
Perfectly
6
Q

Utility over Dynamic Consumption Streams

A

E.g. for a two-period investor active in periods t and t + 1

U(ct,ct+1) = u(ct) + βEt[u(ct+1)]

ct: consumption at date t (known at t)

ct+1: consumption at date t + 1 (random from perspective of date t)

u: period utility function (increasing & concave)

β: subjective discount factor (0 ≤ β ≤ 1, captures impatience)

Et[·]: conditional expectation conditional on time-t information

How well did you know this?
1
Not at all
2
3
4
5
Perfectly
7
Q

Environment faced by the investor

A

We want to determine the time-t value of a time-t + 1 payoff xt+1 (random variable)

payoff is the cash flow an investor receives from investing in one unit of the asset

do not confuse with a profit (subtracts cost) or return (divides by initial investment)

How well did you know this?
1
Not at all
2
3
4
5
Perfectly
8
Q

Assumptions about the asset market

A

an asset with payoff xt+1 can be freely traded at date t at market price pt

the investor can hold any fraction of the asset (including negative = short sales)

seeks to maximize utility
u(ct ) + βEt [u(ct+1)]

has some other resources et, et+1 available, e.g.

income (from labor, privately held firms, transfers, etc.)

wealth invested in other assets
than the one we seek to price

if investor buys ξ units of the asset, consumption in the two periods is
ct =et −ptξ ct+1 =et+1 +xt+1ξ

How well did you know this?
1
Not at all
2
3
4
5
Perfectly
9
Q

Maximisation problem

A
How well did you know this?
1
Not at all
2
3
4
5
Perfectly
10
Q

The basic pricing equation and derivation

A
How well did you know this?
1
Not at all
2
3
4
5
Perfectly
11
Q

The Stochastic Discount Factor

A
How well did you know this?
1
Not at all
2
3
4
5
Perfectly
12
Q

Why is it called a stochastic discount factor? And what are the ideas behind it

A
How well did you know this?
1
Not at all
2
3
4
5
Perfectly
13
Q

What Do We Gain from Defining m?

A

Defining m and writing (∗∗) instead of (∗) is just notation

However, it gives us a useful separation

x contains all asset-specific payoff information
(independent of pricing model)

m contains all model-specific pricing content (independent of asset)

When we change the model (e.g. different utility function),
this changes m but not p = E[mx]

Any conclusions we derive from p = E[mx] hold for all asset pricing models

How well did you know this?
1
Not at all
2
3
4
5
Perfectly
14
Q

Asset Pricing Equation for Returns

A
How well did you know this?
1
Not at all
2
3
4
5
Perfectly
15
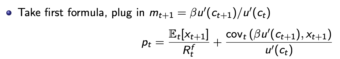
Q

Risk Adjustment Implied by p = E[mx]

A
How well did you know this?
1
Not at all
2
3
4
5
Perfectly
16
Q

Interpretation of Risk Adjustment equation

17
Q

u′(c) is strictly decreasing in c

A

pt is lowered (raised) if payoff covaries positively (negatively) with future consumption ct+1

18
Q

why is u′(c) strictly decreasing in c

A

risk-averse investors dislike consumption uncertainty

payoff that is positively correlated with consumption: increases consumption volatility
pays off well when consumption is already high (investor feels wealthy)
pays off badly when consumption is low (investor feels poorly)
→ makes consumption more risky - should have low price

payoff that is negatively correlated with consumption: reduces consumption volatility
pays off well when consumption is low, badly when consumption is high → provides insurance, should have high price

19
Q

Covariance matters, not variance

A

Risk adjustment term tells us: covariance cov(m,x) matters, not variance var(x)

Why? Investor cares about variation in consumption, not in individual asset payoffs

Contribution of small additional unit of the asset to consumption volatility is measured by the covariance

20
Q

Idiosyncratic Risk

A

Because only the covariance matters, there can be unpriced risk:

21
Q

Risk Adjustment Equation for Returns

A

Gross returns are just a special form of payoff with price 1 Restating the covariance risk adjustment formula for returns:

This provides us with a convenient formula for the (expected return) risk premium Risk premium is positive for assets that comove negatively with the SDF

22
Q

Remark 1: Price-Payoff Formulation Is very General

23
Q

Remark 2: Nominal versus Real Units

A

Prices and payoffs can be real (denominated in goods) or nominal (in dollars, euros, etc.)

p = E[mx] holds for either case, if we use the correct definition of m

24
Q

Remark 3: Assumptions We Do not Need for p = E[mx]

A

We have not assumed complete markets or that there is a representative investor

We have made no assumptions about return or payoff distributions

We have assumed time-separable expected utility preferences, but this is not crucial → p = E[mx] can be derived from more general risk preferences
(form of m changes, interpretation not)

We have made no assumptions on nonmarketable human capital or sources of outside income

25
Remark 4: Assumptions We Do Need for p = E[mx]
Our pricing equation applies to marginal (small) investments into the asset it does not apply (without adjustments) to large discrete decisions e.g. whether to invest a large stake into a private firm or not We have assumed that the investor can short-sell assets without restrictions We have assumed that there are no bid/ask spreads or other trading frictions
26
Multiple periods
Have used a two-period investor for simplicity If we consider instead a T-horizon investor with preferences
27
Closing the Model/General Equilibrium
The basic consumption-based pricing equation relates pt to endogenous variables Not a full solution of the investor’s problem because ct, ct+1 depend on the choice ξ Interpretation depends on how we close the model to form equilibrium But for analyzing p = E[mx], this is often irrelevant p = E[mx] has to hold regardless of how we close the model unless our specific economic question requires more structure, we do not need to specify it in fact, specifying extra structure, possibly wrongly, may lead to misspecified model
28
Some Possibilities
29
The Consumption-based Model Answers All Valuation Questions
At least in principle, the consumption-based model can be used to value any claim
30
Holding-period returns on any security
31
Excess returns (differences) formed from holding-period returns
32
Other things it can price
Security prices for stocks price formulas default-free nominal bonds European call options
33
How to apply the model in practice
To apply the consumption-based model, we need to make choices data counterpart of consumption ct, ct+1 in model e.g. aggregate consumption (“representative agent assumption”) choice of (marginal) utility function and parameters e.g. CRRA utility, u′(c) = c−γ two parameters β, γ can be estimated (e.g. to minimize historical pricing errors) These choices yield an explicit function f mapping data to the SDF m = f (data), e.g.
34
Testing the Model
35
How Does this Work in Reality? – Summary
Model not hopeless: some correlation between predictions and actual average returns But pricing errors (actual expected return − predicted expected return) are large same order of magnitude as variation in excess returns across portfolios
36
Takeaway
If the model is not useful for pricing in practice, should we discard it? No, both p = E[mx] and marginal utility interpretation of m are very valuable conceptually But: we need better observable indicators for marginal utility than aggregate consumption plugged into power utility function This motivates alternative asset pricing models alternative ways of modeling m as a function of data the marginal utility interpretation valuable to evaluate economic plausibility plausibility important to generate confidence in out-of-sample predictions of the model
37
Summary
38
Derivation Details for Model Test