difference between discrete and continuous data
Remember: discrete data has a countable number of possible values –>discrete probability distributions can be put in tables
Continuous data have an infinite number of possible values –>we use a smooth function, f(x) to describe the probabilities
what is a good way to represent continuous data?
via histograms
how do observations influence the shape of the histogram?
more observations result to a smoother histogram
how to represent a continuous random variable?
continuous random variable is a function such that the probability that the variable lies in an interval (a, b) is the area under the curve from a to b

what are features of a probability density function?
f(x) must satisfy the following:
what do areas on the histogram represent?
In each case above, the % areas of the histogram boxes (that is, the area of a box as a % of the total area of all the boxes) are providing estimates of the probabilities of intervals.
what are possible shapes of f(x)?

how to evaluate area under curve?

for continuous probability density function, when x takes on a specific value eg. x=2, what is the area?
area = 0
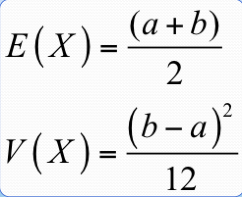
describe the mean and variance of a continuous random variable
The mean measures the location of the distribution, the variance measures the spread of the distribution.
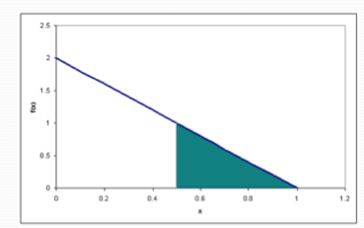
Find P(X>0.5)

¼
Find P(X<0.75)

1-P(X>0.75)=1-(½*¼*½)=15/16
what is uniform distribution?
Special sort of distribution for continuous data.
Described by the function
f(x) = 1/b-a a ≤ x ≤ b

what is expectation and variance of uniform distribution?

The length of time patients wait to see a doctor is uniformly distributed between 40 minutes and 3 hours.
Let X be the waiting time in minutes.
as f(x) = 1/b-a
f(x) = 1/180-40
f(x)=1/140
40 less than or equal to X 180 equal to or greater than

The length of time patients wait to see a doctor is uniformly distributed between 40 minutes and 3 hours.
Let X be the waiting time in minutes.
Find the probability of waiting between 50 minutes and 2 hours.
P(50≤x≤120) = (120-50) x 1/140 = 0.5

The length of time patients wait to see a doctor is uniformly distributed between 40 minutes and 3 hours.
Let X be the waiting time in minutes.
Find the mean and variance of the distribution of waiting times

The length of time patients wait to see a doctor is uniformly distributed between 40 minutes and 3 hours.
Let X be the waiting time in minutes.
Find the probability of having to wait exactly one hour.
P(X=60) = 0

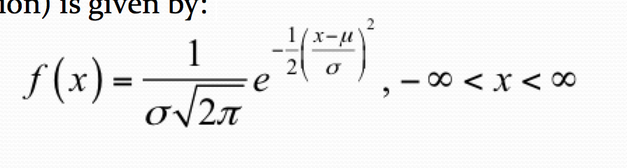
what is another special sort of distribution for continuous data?
The Normal Distribution
The general form of the pdf (probability density function) is given by:

describe normal distribution
Bell-shaped, symmetric about µ, reaches highest point at x=µ, tends to zero as x→±∞.

<!--StartFragment-->
About the Normal Distribution<!--EndFragment-->
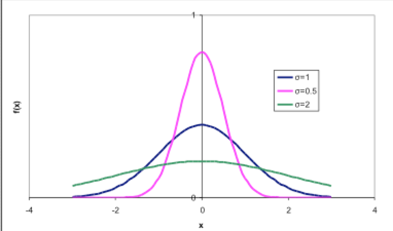
what do different means on a normal distribution look like?

what do different variances on normal distribution look like?

what is the standard normal distributoin?
when μ=0, σ² =1