CT Flashcards

(41 cards)

1
Q

What is a tomogram?

A

A tomogram is an image of a plane or slice within the body

How well did you know this?
1
Not at all
2
3
4
5
Perfectly
2
Q

Explain the basic mechanism of CT.

A

One way to think about the basic mechanism of Computed Tomography (CT) is to image taking a series of conventional chest x-rays, where the patient is rotated slightly around the axis running from head to foot between each exposure.

How well did you know this?
1
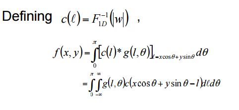
Not at all
2
3
4
5
Perfectly
3
Q

The projection data from CT is used for?

A

The projection data is used to reconstruct crosssectional images.

How well did you know this?
1
Not at all
2
3
4
5
Perfectly
4
Q

Compared to Radiographic Imaging, CT eliminates which artifacts?

A

Compared to Radiographic Imaging, CT eliminates the artifacts from overlaying tissues.

How well did you know this?
1
Not at all
2
3
4
5
Perfectly
5
Q

When was the first CT scanner developed?

A

The first clinical CT scanner developed by Houndsfield in 1971

How well did you know this?
1
Not at all
2
3
4
5
Perfectly
6
Q

How many generations of CT-scanners are presented in the lectures?

A

7 generations of CT-scanners.

How well did you know this?
1
Not at all
2
3
4
5
Perfectly
7
Q

Explain X-ray Source and Collimation for CT.

A

X-ray Source and Collimation

  • Similar to those using for Projection Radiography
  • CT system (Fan beam 30 – 60 degree) requires collimation and filtration that is different to radiography system (Cone Beam)
  • Collimation (beam restriction) is accomplished by using two pieces of lead that form a slit between them
How well did you know this?
1
Not at all
2
3
4
5
Perfectly
8
Q

Give examples of CT Detectors?

A

CT Detectors

  • Solid-state Detector
  • Xenon Gas detector
How well did you know this?
1
Not at all
2
3
4
5
Perfectly
9
Q

Describe Solid-state Detector.

A

Solid-state Detector

  • X-ray interacts with crystal by photoelectric effect (similar to phosphor in an intensifying screen)
  • Electrons are excited and emitted visible light when they spontaneously de-excite.
  • Such scintillation process results in a burst of light
  • The light is converted to electric current using photo-diode
How well did you know this?
1
Not at all
2
3
4
5
Perfectly
10
Q

Explain Xenon Gas detector.

A

Xenon Gas detector

  • Small and highly directional detectors required for 3G system
  • Use Xenon gas in long, thin tubes.
  • When Xenon gas ionized, it generates current between an anode and cathode.
  • Less efficient, but highly directional.
  • For same performance, solid state detectors must be accomplished by external collimations
How well did you know this?
1
Not at all
2
3
4
5
Perfectly
11
Q

What is Parallel Beam projection?

A

Parallel Beam Projection

How well did you know this?
1
Not at all
2
3
4
5
Perfectly
12
Q

Explain the Line integral.

A

Line integral

How well did you know this?
1
Not at all
2
3
4
5
Perfectly
13
Q

For Parallel Beam Projection, if the l=1 and \theta=0, what does the integral become?

A

Parallel Beam Projection,

How well did you know this?
1
Not at all
2
3
4
5
Perfectly
14
Q

What is g(l,\theta) when \theta is fixed and l varies?

A

Parallel Beam Projection

g(l,\theta) is then a projection.

How well did you know this?
1
Not at all
2
3
4
5
Perfectly
15
Q

What is an image of g(l,\theta) called?

A

Parallel Beam Projection

  • An image of g(l,\theta) with l and \theta as rectilinear coordinates is called a sinogram.
  • g(l,\theta) is also known as the radon transform of f(x,y) .
How well did you know this?
1
Not at all
2
3
4
5
Perfectly
16
Q

Explain Back Projection.

A

Back Projection

  • Intuition tells us that if g(l,\theta) takes on a large value at \theta=\theta0, then f(x,y) must be large over the line L(l,\theta).
  • One way to reconstruct an image with this property is to simply assign every point on the value L(l,\theta).
  • The resultant function is called the back projection image and is given by:
  • b\theta(x,y)=g(xcos(\theta)+ysin(\theta),\theta)
  • To incorporate information about the projections at other angles, we can simply add up (integrate) their back projection images, which results:
  • fb(x,y)=int(0->\pi)b\theta(x,y)d\theta
How well did you know this?
1
Not at all
2
3
4
5
Perfectly
17
Q

Explain Projection-Slice Theorem.

A

Projection-Slice Theorem (Fourier Slice Theorem)

  • G(w,\theta)=F(w*cos(\theta),w*sin(\theta))
    • w= the spatial frequency
  • The 1-D Fourier Transform of a projection equals a line passing through the origin of the 2-D Fourier Transform at an angle corresponding to the projection.
  • It forms the basis of three image reconstruction methods.
    • Fourier Method
    • Filtered Back Projection
    • Convolution Back Projection
  • Consider the 1-D Fourier Transform of a projection with respect to l:
  • G(w,\theta)=F1D[g(l,\theta)=int(-inf->inf)g(l,\theta)e-j2\pi*w*ldl
18
Q

Explain the Fourier Method.

A

Fourier Method

  • A conceptually simple reconstruction method based on Projection-Slice Theorem.
    • f(x,y)=F2D-1[G(w,\theta)}
  • Problems:
    • Interpolating polar data onto Cartesian Grid
    • Time consuming to compute the 2D Inverse Fourier Transform
  • Not widely used in CT
19
Q

What are the differences in the results between back-projection, filtered back-projection or filtered back-projection using a Hamming Window?

A

Back Projection

20
Q

Explain Filtered Back Projection

A

Filtered Back Projection

21
Q

What is the flow of reconstructing images using filtered back projection with a HP-rampfilter?

A

Reconstructing images using filtered back projection with a HP-rampfilter

22
Q

Explain Convolution Back Projection

A

Convolution Back Projection

  • The filtered backward projection can be rewritten as:
  • f(x,y)=int(0->\pi)[F1D1(|w|)*g(l\theta)] l=xcos(\theta)+ysin(\theta)d\theta
23
Q

Explain Fan Beam Reconstruction.

A

Fan-Beam Reconstruction

  • Fan-Beam Reconstruction
  • (i) equal angles between the measured raypaths
  • (ii) equal detector spacing
  • (iii) both equal angles and equal detector spacing
  • Advantage: Faster
  • Disadvantage: More complicated Algorithm
24
Q

Name some examples of artifacts related to CT

A

Artifacts associated with CT:

  • Polychromaticity Artifacts in X-Ray CT
  • Artifacts due to insuffucient views
  • Artifacts due to strong scatterers
  • Metal artifacts
  • Aliasing artifact and noise
  • Electronic or system drift
    • Mis-calibration or Gain Drift
    • Detector Faulty
  • X-ray Scatter
    • Strong Scatter that blurs the image
  • Motion
    • Typical scan takes 1 to 10 second
    • Heart Beats, breathing
    • Gate data acquisition so that data will be taken only at a certain stage in the cardiac cycle and/or breathing cycle.
25
How does Polychromatic artifacts look like?
Polychromatic artifacts * Polychromatic; having or exhibiting a variety of colors.
26
How does Artifact due to defect detector looks like?
Artifact due to defect detector
27
How does Artifacts due to insuffucient views appear like?
Artifacts due to insuffucient views
28
Appearance of Artifacts due to strong scatterers?
Artifacts due to strong scatterers
29
How does Metal artifacts present themselves?
Metal artifacts
30
What causes Aliasing artifact and noise?
Aliasing artifact and noise * Insufficiency of data * Under sampling projection data * Not enough projections * Under sampled grid for display * Presence of random noise in the measurements
31
When does Aliasing errors in projection data occur?
Aliasing errors in projection data occur * N (sample of projections) is small and K (number of projections) is large * Choose sample interval \tau * The corresponding band width is W=1/2\tau * Further assume W \< B * Linearity holds so the images can be analyzed as a sum of: * The image made from the bandlimited projections * The image made from the aliased portion of the spectrum * Subtracting the two reconstructions =\> The streaks are gone
32
What happens during Insufficient number of projections?
Insufficient number of projections * N (samples of projections) is large and K (number of projections) is small * A small number of filtered projections of a small object that are backprojected will result is a star shaped pattern * The number of projections should be roughly equal to the number of rays in each projection
33
Explain Projections vs. Samples/projection
Projections vs. Samples/projection * The number of projections should be roughly equal to the number of rays in each projection. * Assume Mproj projections distributed over 180˚. The angular separation is: *\delta=\pi/Mproj* * With sampling interval τ, the highest spatial frequency is; W=1/2τ * Number of samples per projection: N * Number of projections: N * Reconstruction grid: N x N
34
What are the limitations when using Algebraic Reconstruction Algorithms.
Algebraic Reconstruction Algorithms * The relationship between the image sample and the projection can be given by *Σ{1-\>N}wijfj=pi, i=1,2,...M* * where M:projections and N:cells.. * When M and N are small, the matrix equation can be solved by direct matrix inversion. * For a 256 x 256 image, N =65536. * Number of projections is also in the same scale. * Direct Matrix Inversion is not feasible especially not in the 1970s or 1980s. * Noise in measurement can also deteriorate the quality of the reconstructed image.
35
Explain the method of Algebraic Reconstruction Algorithms
Algebraic Reconstruction Algorithms * Initial Guess, project on the first line. * The resultant point is re-projected on the second line. * And then project back to the first line. * The above process is repeated iteratively. * In an unique solution exist, the iterations will always converge to the solution point. Example: Kaczmarz Method * Consider the case of 2 equations with 2 unknowns: * *w11f1+w12f2=p1* * *w21f1+w22f2=p2* * In vector form: ***v** \dot **f**=**p*** * By applying the algorithm: * ***f**(i)=**f**(i-1)-(**f**(i-1) \dot **w**i-**p**i)/(**w**i \dot **w**i) \* **w**i*
36
Give examples of Algebraic Reconstruction Algorithms
Algebraic Reconstruction Algorithms * Numerical implementation of the algorithm by various approximations. * ART (Algebraic Reconstruction Techniques) * SIRT (Simultaneous Iterative Reconstruction Technique) * SART (Simultaneous Algebraic Reconstruction Techniques)
37
What are the advantages and disadvantages with Algebraic Reconstruction Algorithms?
Advantages and Disadvantages with Algebraic Reconstruction Algorithms * Advantages: * Conceptually Simple * Disadvantages * Computationally extensive * Does not work well with high inhomogeneity (10%) * Refraction and Diffraction effects are substantials, result in meaningless results (due to ray tracing) * Recent advancements make it become popular for PET reconstruction.
38
Explain Iterative Methods.
Iterative Methods 1. Starts with an initial estimate of the twodimensional matrix of attenuation coefficients 2. By comparing * (i) the projections predicted from the initial estimate * (ii) those that actually acquired 3. Changes are then made in the estimations 4. Repeats until the residue error becomes small
39
Name one Iterative method
Iterative method ## Footnote - Ray-by-Ray
40
Clinical application Iterative Method?
Iterative Methods * The entire process is repeated for all projections. * Not usually applied for CT due to high SNR. * More widely used in nuclear medicine where the SNR is low. * Similar approach is used in microwave tomography.
41