Descriptive Statistics Flashcards

(54 cards)

1
Q

mean

A

average of a set of measurements

How well did you know this?
1
Not at all
2
3
4
5
Perfectly
2
Q

what is the most common metric to describe LOCATIONN of a frequency distribution

A

mean

How well did you know this?
1
Not at all
2
3
4
5
Perfectly
3
Q

sample mean

A

average of the measurements in the sample

How well did you know this?
1
Not at all
2
3
4
5
Perfectly
4
Q

how to calculate the sample mean

A

sum of all the observations divided by the number of observations

How well did you know this?
1
Not at all
2
3
4
5
Perfectly
5
Q

standard deviation (s)

A

measures how far from the mean the observations typically are

How well did you know this?
1
Not at all
2
3
4
5
Perfectly
6
Q

most used measurement of distribution spread

A

standard deviation

How well did you know this?
1
Not at all
2
3
4
5
Perfectly
7
Q

what does a large vs small standard deviation indicate about the data

A

large = most of the observations are far from the mean

small = most observations are close to the mean

How well did you know this?
1
Not at all
2
3
4
5
Perfectly
8
Q

how to calculate the standard deviation

A

the square root of the variance

How well did you know this?
1
Not at all
2
3
4
5
Perfectly
9
Q

can the standard deviation be negative

A

NO

How well did you know this?
1
Not at all
2
3
4
5
Perfectly
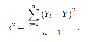
10
Q

variance (s2) formula

A
How well did you know this?
1
Not at all
2
3
4
5
Perfectly
11
Q

what is the deviation

A

difference between a measurement and the mean

How well did you know this?
1
Not at all
2
3
4
5
Perfectly
12
Q

what will the average of the deviations be

A

zero

How well did you know this?
1
Not at all
2
3
4
5
Perfectly
13
Q

how to find the variance

A

square the deviations

How well did you know this?
1
Not at all
2
3
4
5
Perfectly
14
Q

how is the standard deviation often expressed

A

relative to the mean

How well did you know this?
1
Not at all
2
3
4
5
Perfectly
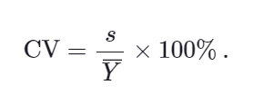
15
Q

coefficient of variation (CV)

A

calculates the standard deviation as a percentage of the mean

How well did you know this?
1
Not at all
2
3
4
5
Perfectly
16
Q

higher vs lower coefficient of variation

A

higher = more variability relative to the mean

lower = individuals are more consistently the same relative to the mean

How well did you know this?
1
Not at all
2
3
4
5
Perfectly
17
Q

when does the coefficient of variation only make sense

A

when all measurements are greater than or equal to zero

How well did you know this?
1
Not at all
2
3
4
5
Perfectly
18
Q

formula for coefficient of variation

A

divided the standard deviation by the sample mean

How well did you know this?
1
Not at all
2
3
4
5
Perfectly
19
Q

what is the sample size in a frequency table

A

the frequency total NOT the number of rows (this total is 395)

How well did you know this?
1
Not at all
2
3
4
5
Perfectly
20
Q

median

A

middle observation in a set of data

How well did you know this?
1
Not at all
2
3
4
5
Perfectly
21
Q

how is the median often displayed

A

a box plot

How well did you know this?
1
Not at all
2
3
4
5
Perfectly
22
Q

how to calculate the median

A

sort the sample observations from smallest to largest

(odd number of observations = middle number)

(even number of observations = average of middle pair)

23
Q

quartiles

A

values that partition data into quarters

24
Q

what is the first, second and third quartiles

A

first: Middle value of the measurement below the median

second: the median

third: Middle value of the measurements LARGER than the median

25
interquartile range (IQR)
Span of the middle half of the data from the first quartile to the third quartile
26
how to calculate the IQR
Compute the first and third quartiles Then subtract them
27
Box plots display
the median and interquartile range
28
what do the lower and upper edges of a box plot represent
first and third quartiles
29
what is the interquartile range in a box plot
the span of the box
30
what is the horizontal line dividing a box in box plot
the median
31
how are extreme values shown in a box plot
by a dot or line
32
what are examples of measures of spread
standard deviation interquartile range
33
what are examples of measures of location
mean and median
34
when are the mean and standard deviation LESS informative than the median and interquartile range
data is strongly skewed or have extreme observations
35
when data is strongly skewed or have extreme observations what measures are LESS informative
mean and standard deviation
36
median vs mean
median is the middle measurement of a distribution BUT the mean is the center of gravity
37
is the mean sensitive to extreme values
YES
38
is the median sensitive to extreme values
Less so than the mean
39
is the standard deviation sensitive to extreme values
YES
40
is the interquartile range affected by extreme values
NO
41
percentile vs quantiles
percentile - value below which the X percent of the individuals lie (50th percentile = median = half the data OR 25th percentile = first quartile) quantiles - proportion less than or equal to the given value (represented by decimal) (10th percentile = 0.10 quartile Median = 0.5 quartile)
42
most used descriptive stats for a categorical variable
proportions
43
what is the analogues statement for the mean, standard deviation, median and interquartile range
mean : Standard deviation :: median : interquartile range
44
how is the Coefficient of variation beneficial in comparisons
allows us to compare variables with different units because the CV is unitless
45
how are measures of mean and median similar
both describe location of frequency distribution
46
what is the purpose of the median
to partition ordered measures into two halves
47
are the mean, median, st.d and IQR similar or different when the distribution is symmetrical and unimodal
give similar information
48
what parameter gives the bulk of information when data is skewed
the median because the mean is pulled towards the outliers and away from the bulk of data
49
is standard deviation more or less sensitive to extreme values than the mean
MORE sensitive
50
why is the st.d more sensitive to extreme values than the mean
because extreme values of large deviations which when squared amplify that effect
51
when is IQR better for data and when is the STDEV
IQR - regarding the MAIN part of the data STDEV - better for information of ALL data in the distribution (with the spread)
52
how do you calculate a proportion
number of category divided by total number in all categories
53
what does the proportion (P-hat) estimate
estimate of true population proportion (p)
54
what must the proportion sum to
1