Électrostatique Flashcards

(166 cards)

1
Q

Définir la charge volumique et donner la formule générale de la charge portée par un volume v

A
How well did you know this?
1
Not at all
2
3
4
5
Perfectly
2
Q

Définir la charge surfacique, l’exprimer en fonction de la charge volumique et donner la formule générale de la charge portée par une surface S

A
How well did you know this?
1
Not at all
2
3
4
5
Perfectly
3
Q

Définir la charge linéique

A
How well did you know this?
1
Not at all
2
3
4
5
Perfectly
4
Q

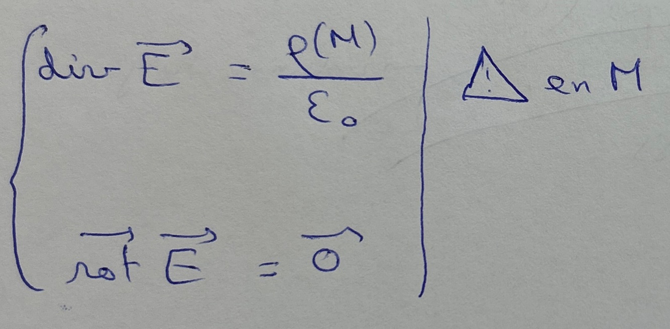
Donner les équations de Maxwell électrostatiques

A
How well did you know this?
1
Not at all
2
3
4
5
Perfectly
5
Q

Donner la dimension d’un champ E# utile en électrostatique

A
How well did you know this?
1
Not at all
2
3
4
5
Perfectly
6
Q

Donner les formes intégrales des équations de Maxwell électrostatiques

A
How well did you know this?
1
Not at all
2
3
4
5
Perfectly
7
Q

Donner l’analogie gravitationnelle de l’équation de Maxwell-Gauss

A
How well did you know this?
1
Not at all
2
3
4
5
Perfectly
8
Q

Démontrer l’équation de Poisson

A
How well did you know this?
1
Not at all
2
3
4
5
Perfectly
9
Q

Qu’est-ce que le théorème d’unicité ?

A

L’équation de Poisson admet une unique solution pour des conditions aux limites données

How well did you know this?
1
Not at all
2
3
4
5
Perfectly
10
Q

Pour les calculs de champ électriques, on nous donne les sources (ρ, σ, λ ou q), quelle est la première chose que l’on fait ?

A

On étudie les symétries

How well did you know this?
1
Not at all
2
3
4
5
Perfectly
11
Q

Qu’appelle-t-on plan de symétrie et d’antisymétrie ?

A
How well did you know this?
1
Not at all
2
3
4
5
Perfectly
12
Q

Exprimer de quatre manières différentes le champ électrique créé par une charge q(M). À quoi faut-il faire attention ?

A

Local, ponctuel ! On doit faire l’intégrale triple pour avoir le champ E# créé total

How well did you know this?
1
Not at all
2
3
4
5
Perfectly
13
Q

À quoi sert l’étude des plans de symétrie en électrostatique ?

A
  • E# est inclus dans tout plan de symétrie
  • E# est perpendiculaire à tout plan d’anti-symétrie
How well did you know this?
1
Not at all
2
3
4
5
Perfectly
14
Q

Qu’est-ce que le principe de Curie

A

Les invariances des causes (distribution de charges) se retrouvent dans les effets

How well did you know this?
1
Not at all
2
3
4
5
Perfectly
15
Q

À quoi sert le principe de Curie

A

Il permet de déterminer l’invariance de la valeur algébrique E vis-à-vis de certaines coordonnées

How well did you know this?
1
Not at all
2
3
4
5
Perfectly
16
Q

Après l’étude des symétries et des invariances, quelles sont les différentes méthodes pour calculer E# ?

A
  • Théorème de Gauss
  • Calcul direct de E# ou V
  • Résoudre l’équation de Poisson
How well did you know this?
1
Not at all
2
3
4
5
Perfectly
17
Q

Quand utilise-t-on le théorème de Gauss ?

A

Lorsqu’on a des propriétés de symétrie fortes

How well did you know this?
1
Not at all
2
3
4
5
Perfectly
18
Q

À quoi faut-il faire attention lorsqu’on applique le théorème de Gauss ?

A
  • Bien choisir la surface de Gauss
  • La préciser et la dessiner
How well did you know this?
1
Not at all
2
3
4
5
Perfectly
19
Q

Comment choisir la surface de Gauss ?

A

Prendre des surfaces parallèles et perpendiculaires au flux

How well did you know this?
1
Not at all
2
3
4
5
Perfectly
20
Q

Comment faire le calcul direct de E# ?

A
How well did you know this?
1
Not at all
2
3
4
5
Perfectly
21
Q

Exprimer de quatre manières différentes le champ de potentiel créé par une charge q(M)

A
How well did you know this?
1
Not at all
2
3
4
5
Perfectly
22
Q

Que fait-on souvent au lieu de calculer directement E# ? Pourquoi ?

A
  • On calcule directement V de la même manière, car c’est plus simple de sommer des scalaires que des vecteurs
  • E# = -grad#(V)
How well did you know this?
1
Not at all
2
3
4
5
Perfectly
23
Q

Donner et démontrer l’expression du champ électrique

A
How well did you know this?
1
Not at all
2
3
4
5
Perfectly
24
Q

Tracer E(z) dans une plaque infinie, que remarque-t-on ?

A

Il y a une discontinuité de E de σ/ε0 à la traversée de la surface chargée

How well did you know this?
1
Not at all
2
3
4
5
Perfectly
25
Déterminer l’expression de E# en utilisant l’équation divE# = 0
26
Que peut-on dire de E#normal à la traversée d’une surface chargée ?
27
Déterminer la valeur du champ électrique créé par deux plans infinis
28
Déterminer, par le théorème de Gauss, l’expression du champ E# dans une plaque épaisse de ρ=cste et d’épaisseur a de chaque côté et tracer E(z)
29
Pourquoi dit-on que E# est un vrai vecteur ?
Car : - Son image par rapport à un plan de symétrie est son symétrique - Son image par rapport à un plan d’anti-symétrie est son anti-symétrique
30
31
Donner la trame générale de détermination d’un champ E# dans le cas d’une symétrie cylindrique infinie
32
Calculer le champ E# créé par un fil infini de charge linéique λ
33
Pour r >> a, déterminer le champ E# créé, dans la base cylindrique r (distance OP), θ (angle entre Ox et OP) et z
34
Εxprimer en justifiant le potentiel créé par un fil infini
35
Vérifier la cohérence du résultat
Cohérent
36
Déterminer les équations des lignes de champ de E# et des lignes équipotentielles
37
Tracer
38
Tracer E(r) et commenter
39
Tracer E(r) ρ* pas σ
R²/r*
40
Quelle grandeur est toujours continue en électromagnétisme ?
Le potentiel V, car E# = - grad(V)
41
Tracer V(r), en prenant pour référence V(R) = 0 •/ε0×r, pour r ≥ R*
42
Tracer E(r)
43
Déterminer E(r)
44
Déterminer E(r) pour un cylindre infini, avec ρ = cste
45
À quelle condition a-t-on E continu ?
Si on considère des volumes et donc des charges volumiques, car c’est comme cela dans la vraie vie et alors E est continu. En revanche les charges surfaciques et linéiques sont des approximations qui conduisent à des discontinuités dans E
46
Effectuer l’étude des symétries et des invariances dans le cas d’un champ à symétrie sphérique ?
- Tout plan passant par O est un plan de symétrie de la distribution de charges (on n’a besoin d’en exhiber que 2) donc E# est selon er# - Invariance de la distribution de charges par toute rotation autour de O, donc E# = E#(r) - Donc E# = E(r) × er#, on prend comme surface de Gauss la sphère de rayon r et de centre O
47
Appliquer le théorème de Gauss dans le cas d’un problème à symétrie sphérique
On prend comme surface de Gauss une sphère de centre O et de rayon r, alors E(r).4π.r² = Qint/ε0
48
Tracer E(r), commenter
On a bien une discontinuité de E de σ/ε0 au passage de la surface chargée
49
Tracer E(r), commenter
On a bien des discontinuités de σ1/ε0 et σ2/ε0 au passage des surfaces chargées 1 et 2
50
Tracer E(r)
51
Qu’est-ce que le modèle de Thomson de l’atome d’hydrogène ? Comment l’appelle-t-on également ?
Modèle de l’électron élastiquement lié
52
Justifier que le modèle de Thomson soit appelé « modèle de l’électron élastiquement lié »
On trouve d’abord l’expression de E(r) par une étude des symétries et invariance et en appliquant le théorème de Gauss
53
Déterminer un ordre de grandeur du nombre d’aller-retour que fait l’électron autour du proton par seconde et déterminer dans quel domaine on se trouve
54
Si l’atome est soumis à un champ électromagnétique de pulsation ω, déterminer une condition pour qu’on puisse considérer ce champ uniforme au niveau de l’atome et faire un RFD, en négligeant la force magnétique
k* au lieu de ω0²
55
On est dans le modèle de Thomson de l’atome d’hydrogène, auquel on applique un champ électromagnétique uniforme, on se place en RSF, tracer r(ω)
On fait un RFD : force de rappel électrostatique et force électrique extérieure ω << ω0 ; ω = ω0 ; ω >> ω0
56
Calculer g(r)#
57
Déterminer le champ électrique créé dans la cavité (norme et sens)
58
Qu’est-ce qu’une distribution multipolaire ? Que cherche-t-on à faire ? Comment ?
59
Dans le cas d’une distribution multipolaire de qi charges, définir les terme monopolaire, terme dipolaire, terme quadrupolaire, en appelant r = OP, ri = PMi, Ri = OMi et αi l’angle entre PMi et PO
1/32* au lieu de 1/8
60
Qu’appelle-t-on distribution monopolaire ?
Une distribution telle que Q≠0
61
Commenter dans le cas d’une distribution monopolaire
62
Qu’appelle-t-on distribution dipolaire ?
≠0* pour le deuxième
63
Dans le cas d’une distribution dipolaire, définir le moment dipolaire et préciser son unité
Q = Q+ = Q- O- et O+ respectivement les barycentres des charges positives Cohérent avec μ = q × d en chimie
64
Qu’appelle-t-on distribution quadrupolaire ?
Q=0 et les barycentres des charges positives et négatives sont les même : p# = 0#
65
En distribution quadrupolaire, comment évoluent le potentiel et le champ électrique à grande distance ?
V diminue en 1/r³ et donc E diminue en 1/r^4
66
En distribution dipolaire, comment évoluent le potentiel et le champ électrique à grande distance ?
V diminue en 1/r² et donc E et 1/r³ (normalement E décroit en 1/r², donc ici en 1/r³ après DL à l’ordre suivant)
67
Montrer que, pour un dipôle, le potentiel décroît en 1/r² pour r>>a (explication plus physique appliquée à vraiment un dipôle)
Beaucoup plus important de savoir le faire comme ça, c’est quasi toujours ce qu’on fera En gros on a ici pas besoin du terme d’ordre supérieur donc abaisser la perpendiculaire suffit. Al-Kashi est utile si on veut être plus précis et avoir les ordres sumérieurs.
68
Déterminer l’expression du champ électrique d’un dipôle, à grande distance, en fonction de p, ε0, r et θ
C’est 4 au lieu de 8 et 2 au lieu de 4 à chaque fois au dénominateur
69
Donner l’expression des lignes de champ
70
On est dans un dipôle, tracer
71
Démontrer cette expression intrinsèque
72
Quelles sont les propriétés générales ? Justif
73
Que vaut le champ électrique en un point collé à un conducteur parfait ? Justif
74
Quelle est la formule de passage électrostatique, quelles sont les deux conséquences ?
75
Pourquoi, pour un conducteur parfait, les lignes de champ divergent-elles du conducteur ?
Car le potentiel est le même en tout point dans le conducteur, il est donc une surface équipotentielle. Or, les lignes de champ sont orthogonales aux équipotentielles, donc divergent du conducteur parfait
76
Qu’appelle-t-on « capacité d’un conducteur » ?
C0 = Q/V0
77
Qu’appelle-t-on « pression électrostatique » ?
78
Déterminer l’expression de la pression électrostatiqie
En utilisant la relation de passage Donc P = σ²/2.ε0
79
Donner l’allure des lignes de champ et tracer les équipotentielles
80
Justifier
81
Déterminer σ
82
Montrer que Q = -q
83
Qu’appelle-t-on « condensateur » ?
C’est un ensemble de deux conducteurs en influence totale
84
Qu’appelle-t-on « influence totale »
85
Faire un schéma de condensateur
86
Montrer que Q1 = -Q2 ⇔ toutes les lignes de champ de 1 tombent sur 2
87
Définir la capacité d’un condensateur
Q = C.U
88
Définir le courant de fuite et la résistance de fuite
U = R.I
89
Donner l’expression de la constante de temps d’un condensateur. À quoi faut-il faire attention ? Comment s’en souvenir ?
ε = ε0 × εr, la permittivité de l’isolant On n’est pas censé le connaître, juste pouvoir le vérifier, on ne peut pas l’utiliser En gros c’est la compétition entre est-ce que l’isolant isole bien (alors ε très grand et le temps de fuite aussi) et est-ce que le conducteur conduit bien (alors γ très grand et les charges circulent super vite et le temps de fuite diminue) On peut aussi la retrouver en deux seconde avec l’équation de conservation de la charge.
90
Quelle est l’équation différentielle vérifiée par ρ dans un conducteur ? Justif
91
Quelles sont les deux méthodes que l’on peut utiliser pour calculer la capacité d’un condensateur ?
En gros avoir E(Q1) et calculer V à partir de ça, ou avoir E(V) et calculer Q1 à partir de ça
92
Donner l’expression de C dans un condensateur plan infini puis démontrer grâce à Gauss
93
Démontrer l’expression de C dans un condensateur plan, en résolvant l’équation de Poisson
94
Donner et démontrer l’expression de Rf dans un condensateur plan
95
On introduit un gaz comportant n0 molécules/m³ entre les armatures. Ce gaz s’ionise sous l’action du champ E0#, on a n+ cations monovalents par m³ et n- anions monovalents par m³. n+ et n- dépendent de z. Dessiner la situation et exprimer ρ(z)
96
On introduit un gaz comportant n0 molécules/m³ entre deux armatures de surface S et espacées de l. Ce gaz s’ionise sous l’action d’un champ E0#, on a n+ cations monovalents par m³ et n- anions monovalents par m³ : En supposant |e.V| << kB.T Déterminer une expression de σ’ et en déduire qu’on peut mettre C sous la forme C0 × u/th(u)
97
Lorsqu’on a une équation différentielle qui se résout en ch et sh, comment savoir si on résout en sh/ch ou exp ?
- bornée : exp car on peut enlever l’une des deux comme la fonction est bornée - paire/impaire : sh/ch car on peut enlever l’un des deux
98
Déterminer la capacité d’un condensateur cylindrique
99
Calculer la capacité C sur une longueur h
A=…* et pas V(r)=…
100
Qu’est-ce que l’énergie potentielle électrique ?
101
Donner la dimension de C en fonction de celle de ε0
C en F, ε0 en F.m-1, donc [C] = [ε0.d]
102
Calculer la résistance de fuite de manière classique
103
Calculer la résistance de fuite en voyant l’espace inter-armature comme un ensemble de micro-dipôles
104
Donner l’expression locale de la résistance
R = 1/γ × l/S, sur une figure de conductivité électrique γ et de surface constante S et de longueur l
105
À quoi faut-il faire attention si on calcule le champ électrique créé par une structure chargée pour laquel ρ dépend de r, par le théorème de Gauss ?
On n’a pas Qint = Vint × ρ, il faut décomposer en plein de petites couches
106
Lorsqu’on a une situation bizarre, créé par la superposition de deux motifs chargés simples, quel est le moyen le plus simple de calculer le champ E# créé ?
- On calcule le champ E# créé par chacun des motifs puis on fait une superposition - À ce moment là, il faut faire attention et exprimer le champ E# sous la forme … × OM# Il est en effet beaucoup plus simple de sommer des vecteurs comme ça qu’avec des vecteurs directeurs etc, car on peut écrire O’M# = - MO’# et OM# + MO’# = OO’
107
Comment justifier que des répartitions de charges qui s’annulent deux à deux de chaque côté d’un plan en font un plan équipotentiel
Plan d’antisymétrie ⇒ E# perpendiculaire ⇒ équipotentiel
108
Qu’est-ce qu’un éclair ?
Si E > Edisruptif, le « condensateur » formé par le nuage et par le sol se décharge
109
Donner l’expression de l’énergie électrostatique volumique et en déduire l’expression de l’énergie électrostatique dans un volume
110
Calculer l’énergie électrostatique contenue par la sphère
111
Calculer l’énergie électrostatique contenue par la sphère et faire un analogie gravitationnelle
112
Qu’est-ce que la méthode énergétique de calcul de C ?
113
Calculer la capacité d’un condensateur plan par le méthode énergétique
114
Calculer la capacité d’un condensateur cylindrique par la méthode énergétique
115
Quel est le travail de la force électrique entre deux points ? Justif
116
Quelle est la définition plus physique de l’énergie électrostatique ?
117
Déterminer une expression de Ue
j < i* en bas
118
Calculer Ue d’une sphère ρ=cste en utilisant la définition physique de Ue
4/3* au lieu de 3/4 à la dernière égalité
119
Comment définit-on l’énergie d’interaction électrostatique de 2 éléments ?
C’est l’énergie d’un élément dans le champ d’un autre
120
Quelle est la définition physique de l’énergie électrostatique d’un élément qui permet de la calculer ?
C’est le travail d’opérateur Wop nécessaire pour amener 2 à sa position depuis l’infini, de manière quasi-statique, avec 1 en place, et vice-versa
121
Donner l’expression de l’énergie d’interaction d’un dipôle passif dans un champ électrique externe
122
Montrer l’expression de l’énergie d’interaction d’un dipôle passif dans un champ extérieur
123
Comment adapter l’expression de l’énergie d’interaction d’un dipôle passif dans un champ extérieur, si ce champ n’est pas uniforme ?
On prend ce champ en O (centre des barycentres)
124
Donner l’expression de l’énergie d’interaction dipôle/dipôle
C’est l’expression de l’énergie d’interaction d’un dipôle passif dans un champ extérieur, ce champ étant celui de l’autre dipôle
125
Si on utilise l’expression intrinsèque du champ E# et qu’on combine avec l’expression générale de l’énergie d’interaction dipôle/dipôle, on arrive sur une énergie d’interaction en 1/r³, est-ce cohérent ? Pourquoi ?
Ce n’est pas cohérent, car les énergies d’interaction dipôle/dipôle sont en 1/r^6 (Van der Waals). Le problème est qu’il faut prendre la moyenne de cette énergie, qui correspond à la moyenne statistique sur toutes les orientations relatives possibles des dipôles, on aura alors une énergie en 1/r^6
126
On considère un dipôle dans un champ E#ext, donner ses positions d’équilibre et détailler les stabilités
127
Donner les positions de stabilité et d’instabilité en fonction de l’orientation de p1# et p2# pour une interaction dipôle/dipôle
128
Donner l’expression du moment en O et de la résultante des forces s’exerçant sur un dipole passif placé dans un champ E#ext
129
Démontrer l’expression du moment en O des forces s’exerçant sur un dipole passif placé dans un champ E#ext
130
Justifier la stabilité des positions d’équilibre d’un dipôle dans un champ électrique externe
131
Définir la polarisabilité d’une molécule
- on applique un champ E# extérieur (attention, il faut donc qu’on introduise un champ E# qu’on applique si le sujet ne le fait pas !) - une fois l’équilibre atteint (attention, on se place à l’équilibre pour trouver l’expression de α !) - le champ p# que la molécule a acquit est de la forme α.ε0.Ε#, c’est la définition de la polarisabilité α
132
Déterminer l’expression de la polarisabilité dans l’atome d’hydrogène selon le modèle de Thomson, sachant que k = e²/4.π.ε0.a³
La polarisabilité est une fois l’équilibre atteint !
133
Décrire la polarisation dans le modèle de Langevin
134
Déterminer la dimension de χe
135
En déterminant l’expression de χe, montrer qu’il décroît en 1/T en supposant Ep << kB.T
On se place sur la tranche selon E# où il y a un dipôle L’hypothèse Ep << kB.T ⇒ statistique de Maxwell-Boltzmann, et on a du : moyenne statistique Attention : l’intégrale sur [0,2π] de cos² vaut π, c’est pour ça que sa valeur moyenne vaut 1/2 (on divise par la période = 2π) = < px>.ex#, car invariance par rotation autour de l’axe donc l’autre composante s’annule
136
Montrer que l’énergie potentielle de Debye est bien en -C/r6
Puisque 2 est une molécule apolaire, le moment dipolaire qu’elle a est un moment dipolaire induit par 1 ! On connait donc son expression, c’est celle qui la polarisabilité !
137
Comment se souvenir de la définition de C et Rfuite ?
Q = C.U et U = R.I
138
Que représente la capacité d’un condensateur ?
C’est la quantité de charge qu’un condensateur peut acquérir sous une certaine tension
139
À quoi est associée une énergie potentielle ?
Si on a une énergie potentielle, on a forcément une force conservative qui lui est associée
140
Comment calculer le champ E créé par plusieurs charges réparties dans l’espace ?
À faible distance, il faut superposer les potentiels mais c’est trop compliqué À grande distance : - Si Qtot ≠ 0 : approximation monopolaire, c’est le champ créé par une charge Qtot placée au barycentre de toutes les charges - Si Qtot = 0 : approximation dipolaire, on superpose les V et on fait un DL, alors E# = -grad#(V)
141
Quels sont les intérêts de l’approximation dipolaire ?
Lorsqu’on a plusieurs charges réparties dans l’espace et pour lesquelles Qtot = 0 : On appelle p# = q+ × O-O+# le moment dipolaire Alors : - Force électrique : F# = 0# et L# = p# ∧ E#, au total sur le dipôle - Énergie potentielle : Ep = - p# • E# En gros ça permet de déterminer le comportement d’une répartition de charges à laquelle on applique un champ E#, sans avoir besoin de regarder charge par charge.
142
Comment traduire en charges volumiques qu’un conducteur parfait se charge en surface ?
ρint = 0
143
Comment appelle-t-on le fait que, dans un condensateur toutes les lignes de champ d’un conducteur retombent sur l’autre ?
Ils sont en influence totale
144
Comment faire si on calcule une capacité en passant par Poisson mais qu’on arrive à σ non constant par les conditions de passage ?
On écrit Q = ∫∫σ.δS et là c’est bon ! (On veut une relation entre Q et V2 - V1)
145
Quelle est la définition d’un dipole électrostatique ?
C’est juste le système formé de deux charges opposées
146
À quoi faut-il faire attention si on nous demande de tracer les lignes de champs d’un dipôle ?
Il faut bien tracer le moment dipolaire p# et orienter les lignes de champ
147
Comment justifier qualitativement la définition et le signe de la polarisabilité ?
Lorsqu’un champ extérieur est appliqué, il déplace le noyau et les électrons dans des directions opposées, créant ainsi un dipôle électrostatique. Puisque p# s’aligne sur E#, et que ε0 > 0, α > 0. Plus E est élevé, plus cette séparation est marquée, donc plus p# est grand (O-O+ augmente).
148
Quelle est l’unité de la polarisabilité ?
149
Comment montrer que les rayons r**n** envisageable pour l’électron dans l’atome H vérifient r**n** = a0 × n² ? Sachant que L = n.h
- RFD à l’électron (juste la force électrique -e²/4.π.ε0.r²) - Écriture du terme de gauche comme -m.v²/r - L = m.r.v - rn = n² × … = a0 × n²
150
Rappeler la définition du moment cinétique
151
En combien évolue le champ E# à grande distance pour une répartition dipolaire des charges ?
1/r³ (car le potentiel en 1/r²) (pour 1 charge en 1/r², pour deux on fait un DL donc 1/r³)
152
Quelle est l’unité de ε0 ?
F.m-1
153
Quelle grandeur est toujours continue en électrostatique ?
V, car E# = - grad#(V)
154
Montrer que le potentiel d’un dipôle décroit en 1/r² à grande distance
(Donc le champ électrique décroît en 1/r³)
155
Comment déterminer l’expression des lignes de champ d’une répartition de charges à grande distance ?
- sommer les potentiels : V = V+ - V- - remplacer V+ et V- par leurs expressions - abaisser la perpendiculaire pour trouver une approximation de r+ et r- - faire des DL pour trouver V - dire que E# = - grad#(V), en déduire Er et Eθ - utiliser l’équation d’une ligne de champ pour trouver r(θ) - tracer
156
Faire un récapitulatif des méthodes pour déterminer la capacité d’un condensateur
157
Lorsqu’on utilise la méthode de Poisson pour déterminer la capacité d’un condensateur, quelle condition aux limites utilise-t-on pour trouver les constantes d’intégration ?
- surtout pas la relation de passage : on veut l’utiliser après pour lier, ça nous ferait tourner en rond, le but est justement d’obtenir deux expressions, une par la relation de passage et une par : - il faut poser V1 et V2 les potentiels de chacune des armatures, si l’énoncé ne l’a pas déjà fait, car ils sont nécessaires pour trouver C (interviennent dans son expression) et on s’en fiche de ne pas les connaître car ils vont disparaître dans C dans tous les cas !
158
Quelle est la démarche pour déterminer l’expression d’une polarisabilité ?
- en premier, il faut supposer qu’on applique un champ E0# ! (sinon on n’a aucun moyen de déterminer la polarisabilité, il y a un « pour tout champ E# extérieur appliqué » dans son expression… - ensuite il faut regarder ce qu’on a à l’équilibre et remplacer p# par son expression
159
La force électrique est-elle conservative ?
Oui, car elle dérive de l’énergie potentielle électrique q.V
160
161
Comment est dirigé le moment dipolaire ?
Du - vers le +
162
Comment retenir que p# va du - vers le + ?
163
Que se passe-t-il lorsqu’on met un dipôle dans un champ E# ?
164
Comment montrer que l’énergie de Debye décroit en 1/r6 ?
- rappeler le V d’une charge et calculer par superposition le V d’un dipôle pour θ = 0 - en déduire le E# d’un dipôle pour θ = 0 - rappeler la définition de la polarisabilité, et en déduire l’expression du dipole induit dans la molécule apolaire - rappeler l’expression de l’énergie d’un dipôle (ici le dipôle induit) dans le champ d’un autre (ici la molécule polaire) - en déduire que l’énergie de Debye décroit en 1/r6
165
Rappeler l’expression de la capacité d’un condensateur plan
C = S.ε/E
166
Rappeler l’expression du moment d’un dipôle dans un champ E#
Γ# = p# ∧ E#