Equation Deck Flashcards

(20 cards)

1
Q

BJT in active mod: iC - vCE equation

A
How well did you know this?
1
Not at all
2
3
4
5
Perfectly
2
Q

What are the model parameter equations for in terms of DC bias currents for the pi and t model?

A
How well did you know this?
1
Not at all
2
3
4
5
Perfectly
3
Q

Relationships between α and β ?

A
How well did you know this?
1
Not at all
2
3
4
5
Perfectly
4
Q

CE amplifier with an emitter resistance: resistance reflection rule

A
How well did you know this?
1
Not at all
2
3
4
5
Perfectly
5
Q

How do you get the current through the emitter if you know the base?

A

Multiply the base by (β+1)

How well did you know this?
1
Not at all
2
3
4
5
Perfectly
6
Q

rπ and re in terms of gm

A
How well did you know this?
1
Not at all
2
3
4
5
Perfectly
7
Q

Relationship between rπ and re?

A
How well did you know this?
1
Not at all
2
3
4
5
Perfectly
8
Q

Whats is the equation for iD in the triode region?

A
How well did you know this?
1
Not at all
2
3
4
5
Perfectly
9
Q

Whats is the equation for iD in the saturation region?

A
How well did you know this?
1
Not at all
2
3
4
5
Perfectly
10
Q

Upper 3-dB frequency equation

i.e. the frequency of the dominant pole (if it exists…)

What happens if it doesn’t exist?

A

tauH will equal the sum of tau’s multiplied by 2π

How well did you know this?
1
Not at all
2
3
4
5
Perfectly
11
Q

Negative Feedback: Configuration equations for Gain, Rin and Rout.

A
How well did you know this?
1
Not at all
2
3
4
5
Perfectly
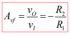
12
Q

Op-amps: Inverting Amplifier

A
How well did you know this?
1
Not at all
2
3
4
5
Perfectly
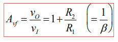
13
Q

Op-amps: Non-inverting amplifier

A

Beta = feedback ratio

How well did you know this?
1
Not at all
2
3
4
5
Perfectly
14
Q

Op-amps: Transimpedance amplifier

A
How well did you know this?
1
Not at all
2
3
4
5
Perfectly
15
Q

Op-amps: Integrator

A

Finds usage in analogue filters, control systems, A/D converters and many other applications.

How well did you know this?
1
Not at all
2
3
4
5
Perfectly
16
Q

Op-amps: Log amplifier

A

Useful in applications where the input signal level may vary by a large factor. It may be desirable in such cases to amplify weak signals and attenuate strong signals.

17
Q

Op-amps: Square-root amplifier

18
Q

Power Amplifiers: Efficiency calculation?

19
Q

CE Amplifier: What is it’s mid-band gain equation?

20
Q

Miller’s Theorem Equation