EXAM 2 quizzes Flashcards

(71 cards)

1
Q

the structure shown is

A

Fructose

How well did you know this?
1
Not at all
2
3
4
5
Perfectly
2
Q

the structure shown is

A

galactose

How well did you know this?
1
Not at all
2
3
4
5
Perfectly
3
Q

the structure shown is

A

glucose

How well did you know this?
1
Not at all
2
3
4
5
Perfectly
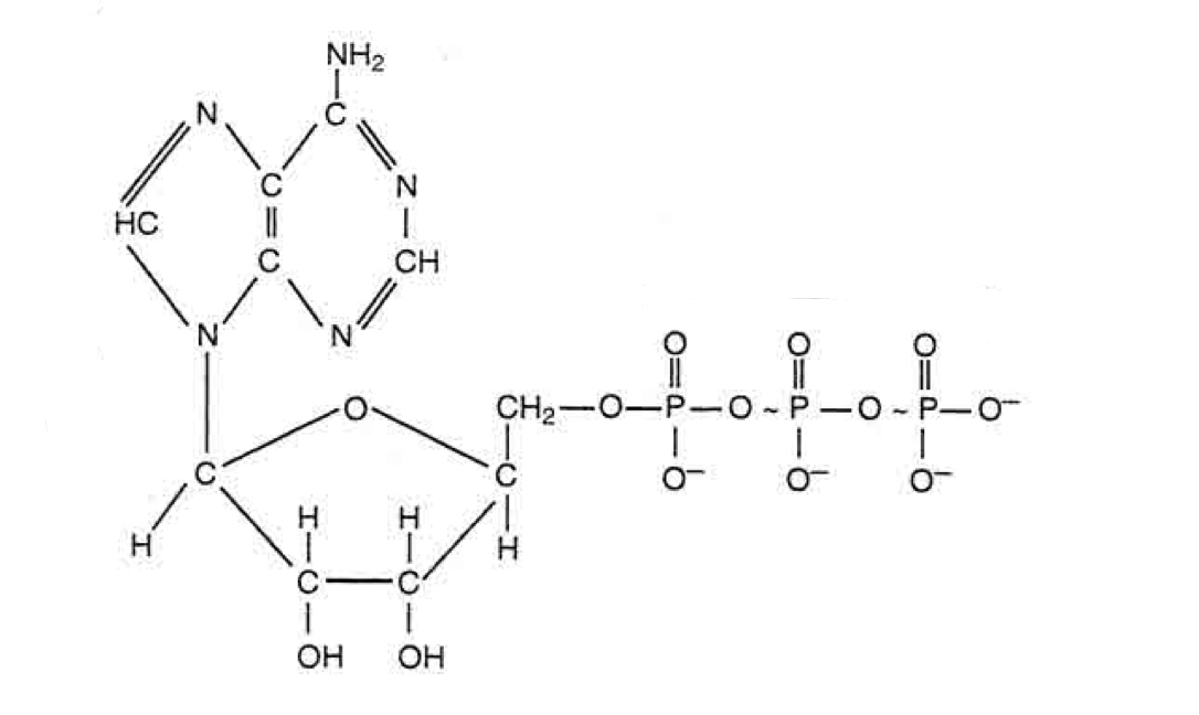
4
Q

the structure shown is

A

ATP

How well did you know this?
1
Not at all
2
3
4
5
Perfectly
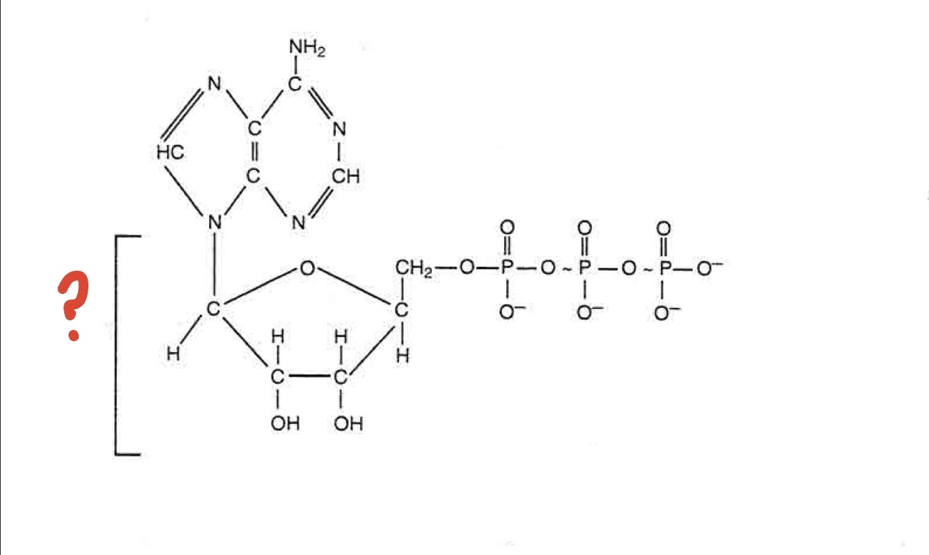
5
Q

Identify what the red question mark indicates.

A

ribose

How well did you know this?
1
Not at all
2
3
4
5
Perfectly
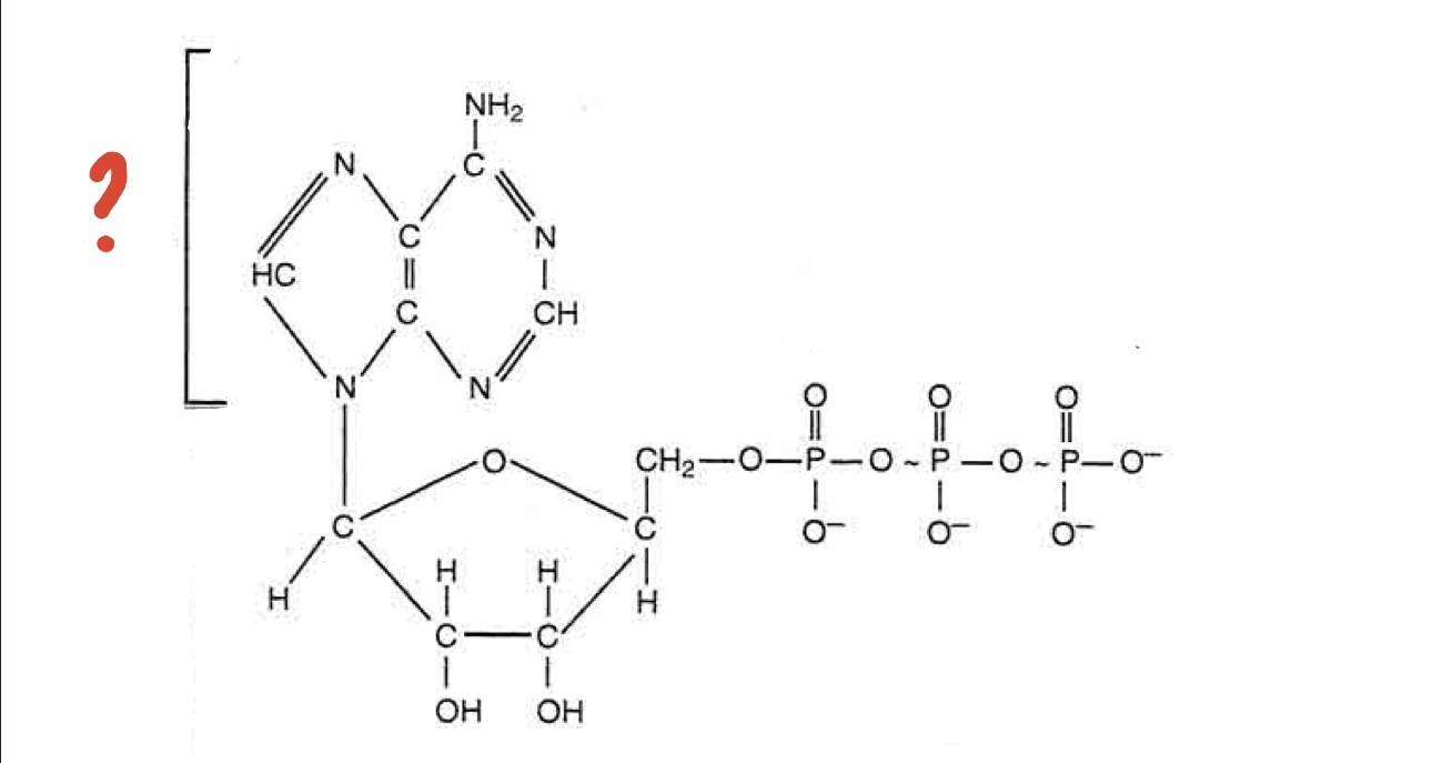
6
Q

Identify what the red question mark indicates.

A

adenine

How well did you know this?
1
Not at all
2
3
4
5
Perfectly
7
Q

Identify what the red question mark indicates.

A

triphosphate

How well did you know this?
1
Not at all
2
3
4
5
Perfectly
8
Q

the structure shown is

A

acetyl CoA

How well did you know this?
1
Not at all
2
3
4
5
Perfectly
9
Q

the structure shown is

A

Galactose

How well did you know this?
1
Not at all
2
3
4
5
Perfectly
10
Q

the structure shown is

A

pyruvate

How well did you know this?
1
Not at all
2
3
4
5
Perfectly
11
Q

the structure shown is

A

Glucose

How well did you know this?
1
Not at all
2
3
4
5
Perfectly
12
Q

the structure shown is

A

propionyl CoA

How well did you know this?
1
Not at all
2
3
4
5
Perfectly
13
Q

the gross ATP production during glycolysis phase of glucose metabolism is

A

4

How well did you know this?
1
Not at all
2
3
4
5
Perfectly
14
Q

when a living cell is dropped into a solution that is hypertonic what happens

A

the cell decreases in size by losing fluid

How well did you know this?
1
Not at all
2
3
4
5
Perfectly
15
Q

Water that is lost through the skin (other than sweating) via diffusion is known as

A

insensible water

How well did you know this?
1
Not at all
2
3
4
5
Perfectly
16
Q

in mammals, urea is the excretory product of

A

protein metabolism

How well did you know this?
1
Not at all
2
3
4
5
Perfectly
17
Q

the water (or fluid) in the body of an animal is located in two distinct compartments. These compartments are

A

extracellular and intracellular

How well did you know this?
1
Not at all
2
3
4
5
Perfectly
18
Q

which of the following generates the largest amount of water post oxidation

A

fat

How well did you know this?
1
Not at all
2
3
4
5
Perfectly
19
Q

which of the following generates the smallest amount of water post oxidation

A

protiens

How well did you know this?
1
Not at all
2
3
4
5
Perfectly
20
Q

Insensible water is the moisture that is lost through

A

diffusion through the skin or panting

How well did you know this?
1
Not at all
2
3
4
5
Perfectly
21
Q

urine from tropical animals is ________ in urea compared to their counterparts found in the temperate region of the world

A

higher

How well did you know this?
1
Not at all
2
3
4
5
Perfectly
22
Q

put desert, tropical, and temperate animals in order of most urea present

A

desert
tropical
temperate

How well did you know this?
1
Not at all
2
3
4
5
Perfectly
23
Q

water that is found within the body comes from all of the following expect
-drinking water
-water in feed
-sweat water
-metabolic water

A

sweat water

How well did you know this?
1
Not at all
2
3
4
5
Perfectly
24
Q

metabolic or oxidation is another water source for livestock. Which of the following is true about metabolic water?

-the potential number of oxidation depends on the number of carbon atoms and the completeness of the oxidation process
-the potential number of oxidation depends on the number of nitrogen atoms and the completeness of the oxidation process
-the potential number of oxidation depends on the number of hydrogen atoms and the completeness of the oxidation process
-none of the above

A

The potential number of oxidation depends on the number of hydrogen atoms and the completeness of the oxidation process

How well did you know this?
1
Not at all
2
3
4
5
Perfectly
25
Triglycerides are esters of fatty acids with
glycerol
26
in general, unsaturated fatty acids are found in lipids of
plant origin
27
the unsaturated fatty acid has the tendency to become saturated.In the presence of excess levels of hydrogen and oxygen, the preference will be for the unsaturated fatty acid to add __________
oxygen
28
most of the lipids (triglycerides) in the diets of ruminants are hydrolyzed in
the rumen
29
Arachidonic acid, an essential fatty acid, could be synthesized from
linoleic acid
30
Which of the following has the highest iodine number
C18:3:6
31
Which of the following is expected to have the highest melting point
C18:0
32
The amino acids that are liberated from protein hydrolysates are primarily alpha amino acids. This means
carboxyl and amino groups are attached to the same carbon
33
why are some amino acids regarded as being conditionally essential
because it depends on if the animal is growing or not, if they are growing they require 10 but a nongrowing animal only requires 8
34
one of the following is a liable source of high-energy phosphate in the muscle
phosphocreatine
35
about ____to _____ %of energy is captured in the useful form of ATP during metabolism
40 to 60%
36
what part of the cell does glycolysis take place
cytoplasm
37
what part of the cell does TCA take place
mitochondria
38
The enzyme kinase suffix is involved in which type of reaction
release or consumption of phosphorus
39
this mineral is required as cofactors for some of the enzymes in the glycolytic pathway
Mg2+ (magnesium)
40
The most ATP during complete glucose metabolism occurs during
electron transport chain
41
the two intermediate compounds in glycolysis with 3 carbons in their structure are
Dihydroxyacetone phosphate glyceraldehyde-3-phosphate
42
intermediates of glycolysis
glucose glucose 6 fructose 6 phosphate fructose 1,6 biphosphate dihydroxyacetone phosphate glyceraldehyde 3 phosphate 1,3 biphosphoglycerate 3 phosphoglycerate 2 phosphoglycerate phosphoenol pyruvate pyruvate "goodness gracious, father franklin didn't go buy perfect pumpkins to prepare pies"
43
intermediates of TCA
Citrate isocitrate alpha-ketoglutarate succinyl CoA succinate fumarate malate oxaloacetate "citrate is krebs special substrate for making oxaloacetate"
44
which of the 3 important VFA's is least important
butryrate
45
Extracellular fluid is divided into
blood plasma interstitial fluid
46
what happens to a cell in a hypotonic solution
it swells
47
what are the essential fatty acids
linoleic linolenic arachidonic
48
what does iodine number tell us
higher the iodine number, the more double bonds present
49
primary fatty acids of fat in an animal body
palmitic stearic oleic
50
where does glycerol enter circulation
portal vein
51
Propionate enters the TCA cycle via
succinyl CoA
51
an intermediate in the glycolytic pathway - malate -isocitrate - fumarate - dihydroxyacetone
dihydroxyacetone
52
one of the following is a TCA cycle enzyme -aldolase -malate dehydrogenase - triose phosphate isomerase
malate dehydrogenase
53
one of the following is an enzyme involved in glycolysis - phosphoglycerate kinase - alpha-ketoglutarate dehydrogenase - fumarase - malate dehydrogenase
- phosphoglycerate kinase
54
Fecal energy and digestable energy makes up
gross energy
55
metabolizable energy, urinary energy losses, and gaseous energy loss make up
digestable energy
56
Net energy (NeP + NeM) and Heat increment make up
metabolizable energy
57
Net energy production and Net energy maintenance make up
net energy
58
Amino acids could be categorized as glucogenic, ketogenic, or both. As discussed in class, two of the 20 common amino acids are strictly ketogenic, which are
lysine leucine
59
Transamination is the process whereby an amino group (NH2) from an amino group is transferred to a keto acid. select from the options, the group of amino acids that may result from this process.
Aspargine, serine, and glycine must all be non-essential amino acids
60
by subjecting a protein to a slightly high temp (than typical) for about 10 minutes and leaving them at room temperature for an extended period of time, which of the following best describes the process that the protein would go through
denatured
61
urea cycle is the process where NH3 is converted to urea before it is finally excreted into the environment. In what organ does this process (urea cycle) take place
liver
62
in adult humans, this amino acid is conditionally essential
arginine
63
we discussed the concept of limiting amino acids in class. Based on our discussion, which of the following amino acids is not likely to be deficient in a typical diet for swine and poultry? -valine -lysine -alanine -methionine
alanine
64
The most important class of nutrient that supplies energy is lipids true or false
false
65
the largest portion of dietary lipids in human food is glycerol true or false
false
66
fatty acid is a carboxylic acid with a long anabolic chain true or false
false
67
the methyl end of fatty acids is considered the head of the chain true or false
false
68
Double bonds can add H2 more readily than it would O2 true or false
false
69
most of the energy (ATP) that are obtained from complete glucose metabolism are derived in the electron transport chain true or false
true
70
what amino acids are classified as glucogenic and ketogenic
threonine tyrosine phenylalanine isoleucine