FINAL by <3 Flashcards

(37 cards)

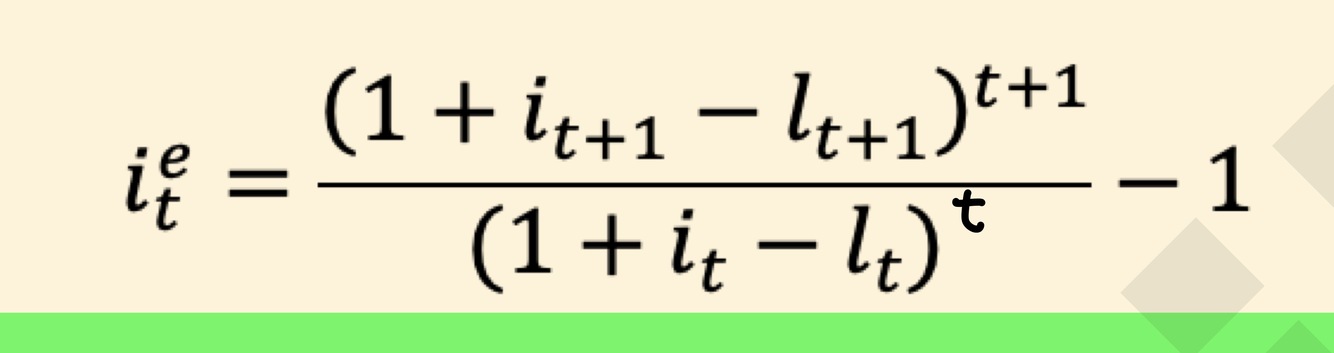
1
Q

Formula and Use

Forward interest rate

A

Interest rate beginning in the future

“expected interest rate”

How well did you know this?
1
Not at all
2
3
4
5
Perfectly
2
Q

Long term interest rate (Liquidity premium theory)

A
How well did you know this?
1
Not at all
2
3
4
5
Perfectly
3
Q

Formula

Long term interest rate (expectation theory)

A
How well did you know this?
1
Not at all
2
3
4
5
Perfectly
4
Q

Formula and Use

Trade to GDP Ratio

A

How much of the GDP comes from Trades

How well did you know this?
1
Not at all
2
3
4
5
Perfectly
5
Q

Formula and Use

Point Price elasticity of Demand

A

How sensitive is demand to a change in price

How well did you know this?
1
Not at all
2
3
4
5
Perfectly
6
Q

Formula and Use

Point Price Elasticity of Supply

A

How sensitive is Supply to a change in price

How well did you know this?
1
Not at all
2
3
4
5
Perfectly
7
Q

Formula and Use

Arc Elasticity of Demand

A

How sensitive is demand to a change in price between two prices

How well did you know this?
1
Not at all
2
3
4
5
Perfectly
8
Q

Formula and Use

Income elasticity of Demand

A
  • How sensitive demand is to changes in income
  • Determine if goods are normal or inferior
How well did you know this?
1
Not at all
2
3
4
5
Perfectly
9
Q

Formula and Use

Cross-price elasticity of Demand

A
  • Determine how sensitive demand is to changes in the price of another good
  • Determine if goods are subsititutes or complements
How well did you know this?
1
Not at all
2
3
4
5
Perfectly
10
Q

Elastic demand

A

Elasticity>1

How well did you know this?
1
Not at all
2
3
4
5
Perfectly
11
Q

Inelastic demand

A

elasticity<1

How well did you know this?
1
Not at all
2
3
4
5
Perfectly
12
Q

Elasticity=1

A

Unit elastic

How well did you know this?
1
Not at all
2
3
4
5
Perfectly
13
Q

Passthrough formula

A

What portion of the tax is passed to the consumer

the side that is less elastic (steeper) will pay more of the tax

How well did you know this?
1
Not at all
2
3
4
5
Perfectly
14
Q

Formula and definition

Labour force

A

People working or looking for work

How well did you know this?
1
Not at all
2
3
4
5
Perfectly
15
Q

Formula

Unemployement Rate

A
How well did you know this?
1
Not at all
2
3
4
5
Perfectly
16
Q

Formula

Employment rate

17
Q

Formula

Labour Force Participation rate

18
Q

Earnings consists of:

A

Wage x Units of time= Earnings

19
Q

Total compensation consists of:

A

Earnings+Benefits= Total compensation

20
Q

Income consists of:

A

Total compensation+Unearned Income= Income

21
Q

Formula and use

Marginal Product of Labour

A

Additional output that one more unit of labour will generate

22
Q

Marginal Product of Capital

A

Additional output that one more unit of capital will generate

23
Q

Marginal Revenue product of Labour

A

Amount of revenue one aditional worker generates

24
Q

Profit Maximization of L

A

Profit is maximized if MR=MC

25
Payroll tax effect on the Labour Demand formula
26
Wage subsidies effect on the Labour demand formula
27
Marginal Rate of Technical Substitution
How much capital must be given up to get one more unit of labour (isoquant slope)
28
Marginal Rate of subsititution of Labour/ Indifference curve
29
Expected value/return | Risk preference
Average return of a gamble based on probabilites
30
Standard deviation | Risk Preference
Risk related to the gamble | Since you cant add st.deviations, find variance then square root
31
# Formula Variance
32
# Formula+def Expected utility
Utility a person expects to receive from an uncertain event
33
# Formula Insurance premium
Payout *x* probability of payout
34
# Formula Present value
35
# Formula+defintion Nominal Rate
Return/Interest rate unadjusted for inflation
36
Real return rate | Also called fisher equation
Return/Interest rate adjusted for inflation
37
Current Yield of a Coupon Bond
CY=Coupon/Current price