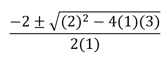
Form the quadratic fomula from the equation
x2 + 2x + 3 = 0


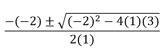
Form the quadratic fomula from the equation
x2 - 2x + 3 = 0


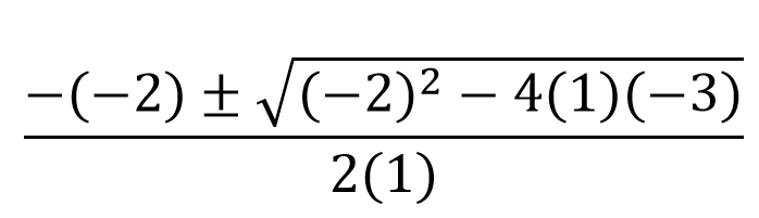
Form the quadratic fomula from the equation
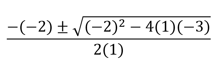
x2 - 2x - 3 = 0


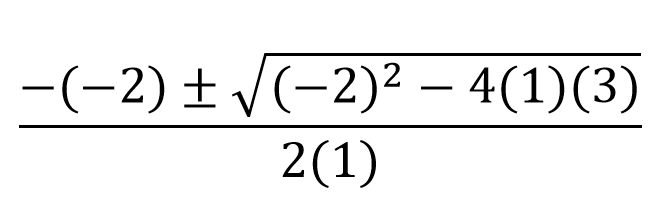
Form the quadratic fomula from the equation
x2 + 3 = 2x

Rearrange to
x2 -2x + 3 = 0

Form the quadratic fomula from the equation
x2 - 2x = 3

Rearrange to
x2 -2x - 3 = 0
