Force de la centrifuge:
RCF = N2 x r x 1.118 x 10-5
N = vitesse (RPM)
r = rayon (cm)
LDL.
LDL = chol total - (HDL + trig/2.2)
Ajustement de la quantité de citrate dans le tube:
Coagulatn requis = (1.0-Hct/5.9-Hct) x volume total du tube
Trou osmolaire
Rf (chromatographie)
Rf = distance entre origine et centre de migration (tache) / distance entre origine et front du solvant
Règle de 3 en hémato
3 x GR = Hgb
3 x Hgb = Hct
Saignement foeto-maternel:
volume hémorragie = # GR foetaux X volume sang maternel (5000 ml) / # GR total comptés
? ml/30ml = ? vial
si 1.6 = 2 + 1 = 3 vial
si 3.4 = 3 + 1 = 4 vial
INR
INR = (TQ patient/TQ normal) ISI
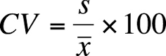
Coefficient de variation

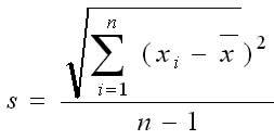
Ecart type:

pH
pH = HCO3 (métabolique) / pCO2 (respiratoire)
VGM
VGM = Hct / # GR
TGMH
TGMH = Hgb / # GR
CGMH
CGMH = hgb / hct
% saturation de transferrine:
% saturation = 100 x fer serique / TIBC
Compte GB avec hématimètre:
GB = # GB (moyenne) x dilution (100) x 106
—————————————————————————
Volume (0.9 mm3)
Henderson-Hasselbach
pH = pka + log [HCO3]
————
[H2CO3]
pH = pka + log [HCO3]
————
a pCO2
a = 0.0301
colonies dans l’urine
/ml d’urine: # colonies comptés x 1ml
——————————————
dilution
rétics avec disque de Miller:
x = # rétics dans carré A
———————————
GR dans carré B x 9
valeur absolue = x X # GR/L
Trou anionique
Trou anionique = (Na + K) - (Cl + HCO3)
Beer-Lambert
Cinconnu = Ainconnu X Cstd
————
Astd
Longeur
1 pouce = 2.54 cm
Poids
1kg = 2.2 lbs
GR nucléées
WBC corrigé = WBC X 100
———
100 + NRBC