Functions Flashcards

(34 cards)

1
Q

Difference of two squares

A
How well did you know this?
1
Not at all
2
3
4
5
Perfectly
2
Q

Ways of solving quadratic functions

A
  • Quadratic formula
  • Factorisation
  • Completing the square
How well did you know this?
1
Not at all
2
3
4
5
Perfectly
3
Q

Quadratic formula

A
How well did you know this?
1
Not at all
2
3
4
5
Perfectly
4
Q

Factorising quadratic functions where a=1

A
  1. Find two numbers which multiply to c and add to the coefficient of b
  2. Put the two values into the factorised form:
    (x +/- q)(x +/- r) = 0
  3. Due to the zero product property, the first or second factor must equal zero: make both equal to zero and solve for x
  4. The two values are your possible x values
How well did you know this?
1
Not at all
2
3
4
5
Perfectly
5
Q

Factorising quadratic equations when a ≠ 1

A
  1. Find two numbers which multiply to ac and add to the coefficient of b
  2. Subsitute them into the equation so that they are now coefficients of x and replace b
  3. Separate the first and second half of the equation and factorise each by taking out a numerical or coefficient value: the two bracketed expressions should be the same
  4. Collect the expression formed by the values “taken out” and that in the bracket to form a factorised pair of parentheses
  5. Make those equal to zero and solve for x, giving your two possible x values
How well did you know this?
1
Not at all
2
3
4
5
Perfectly
6
Q

Completing the square when a = 1

A

Remember:
1. if the sign of c is negative, the final formula will also have -c
2. To solve the equation, make it equal to zero and solve using square root

How well did you know this?
1
Not at all
2
3
4
5
Perfectly
7
Q

Completing the square when a ≠ 1

A
How well did you know this?
1
Not at all
2
3
4
5
Perfectly
8
Q

Discriminant of quadratic equation

A
How well did you know this?
1
Not at all
2
3
4
5
Perfectly
9
Q

Inequalities and the existence of roots from the discriminant

A
How well did you know this?
1
Not at all
2
3
4
5
Perfectly
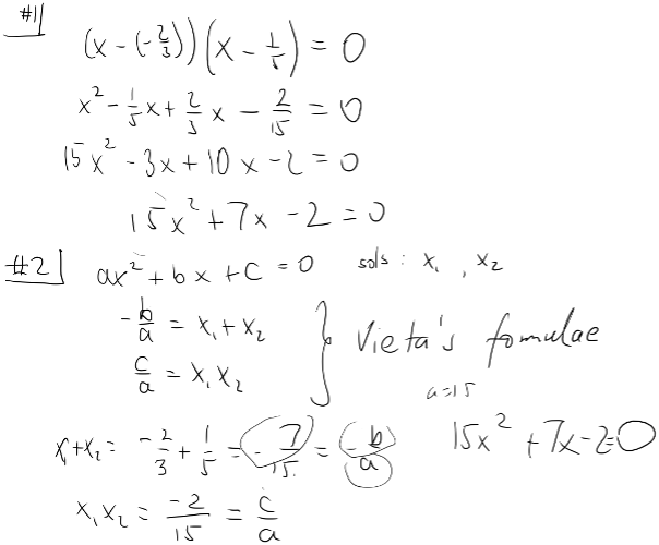
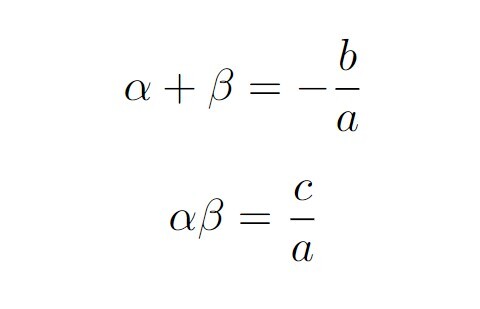
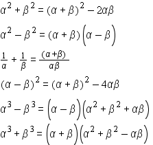
10
Q

Vieta’s formulae

A
How well did you know this?
1
Not at all
2
3
4
5
Perfectly
11
Q

Form quadratic equations given the roots (two methods)

A
  1. Form the factorised forms of quadratics using the roots into two brackets and make it equal to zero (Remember: the sign of the value in the bracket must be opposite the root)
  2. Use vieta’s formulae and substitute the roots to find the a,b and c of the equation
How well did you know this?
1
Not at all
2
3
4
5
Perfectly
12
Q
A
How well did you know this?
1
Not at all
2
3
4
5
Perfectly
13
Q

Find the inverse of a function

A
  1. Change f(x) to y, if needed
  2. Swap x and y
  3. Solve for y
How well did you know this?
1
Not at all
2
3
4
5
Perfectly
14
Q

Find the intersection between two lines

A
  1. Make both functions equal to y (if needed)
  2. Make them equal to each other
  3. Solve for x
  4. Substitute this x into either of the original equation
  5. Solve for y value
How well did you know this?
1
Not at all
2
3
4
5
Perfectly
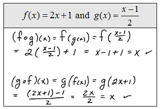
15
Q

How to find if two functions are inverses of each other?

A

Both f(g(x)) and g(f(x)) must equal to x

How well did you know this?
1
Not at all
2
3
4
5
Perfectly
16
Q

How does the completed square form tell the minimum/maximum of a quadratic function?

A
  • If a>0 then it is a minimum, if a<0 then it is a maximum
  • The coordinates for x is the opposite sign (the negative) of the numerical value in the bracket
  • The coordinates for y is the same sign (unchanged) of the value outside the bracket
17
Q

Formula for minimum/maximum of a quadratic for x coordinate

18
Q

Formula for minimum/maximum of a quadratic for y coordinate

19
Q

Linear transformation
f(x) + a

A

Shifts/translates the graph by |a| units along the y-axis
* up if a>0
* down if a<0

20
Q

Linear transformation
f(x + a)

A

Shifts/translates graph by|a|units along the x-axis
* left if a>0
* right if a<0

21
Q

Linear transformation
cf(x)

A

Stretch or compress vertically (along the y-axis)
* Stretch by c when c is greater than 1 (c>1)
* Compress by c when c is greater than 0 but less than 1 (0<c<1)

22
Q

Linear transformation
f(cx)

A

Stretch or compress horizontally (along the x-axis)
* Stretch by c when c is greater than 0 but less than 1 (0<c<1)
* Compressed by c when c is greater than 1 (c>1)

23
Q

Linear transformation
-f(x)

A

Reflection about the x-axis

24
Q

Linear transformation
f(-x)

A

Reflection about the y-axis

25
General transformation rules
26
Composite functions and how to write them
A composite function is created when one function is substituted into another function **Remember:** * write down the inner function first with the outer function still as f(x) * replace the x(s) in the outer function with the inner function
27
Sketching linear functions
y = mx + b * m is the gradient (**remember:** if m is a whole number, the gradient can be written as m/1 (e.g. m=2, g=2/1) * b is the y-intercept
28
Gradient of a linear function and the angle formed
29
How to restrict the domain of a function so that it can be invertible?
**Remember:** a function is only invertible if it is one-to-one 1. Find the inverse of the function 2. If there are values in the infinite domain which would not give real solutions, restrict them using interval notation or inequalities
30
How to sketch the inverse of a function?
Reflect it about y=x
31
Finding the horizontal asymptote
32
Finding the vertical asymptote
33
Sketching rational functions
Find the vertical and horizontal asymptote and according to them, shift the parent function 1/x
34
Gener