Graphs and Coordinates Flashcards

(24 cards)

1
Q

How do we find the midpoint on a graph?

A
How well did you know this?
1
Not at all
2
3
4
5
Perfectly
2
Q

How do we find the gradient of a graph?

A

dy/dx

How well did you know this?
1
Not at all
2
3
4
5
Perfectly
3
Q

How do we know if two gradients are perpendicular?

A

They multiply to get -1

How well did you know this?
1
Not at all
2
3
4
5
Perfectly
4
Q

What is the equation of a line?

A
How well did you know this?
1
Not at all
2
3
4
5
Perfectly
5
Q

What is the discriminant?

A
How well did you know this?
1
Not at all
2
3
4
5
Perfectly
6
Q

What does it mean when the discriminant is > 0?

A

The graph has 2 real roots

How well did you know this?
1
Not at all
2
3
4
5
Perfectly
7
Q

What does it mean when the discriminant is = 0?

A

The graph has 1 real root

How well did you know this?
1
Not at all
2
3
4
5
Perfectly
8
Q

What does it mean when the discriminant is < 0?

A

The graph has no real roots

How well did you know this?
1
Not at all
2
3
4
5
Perfectly
9
Q

What does this graph look like?

A
How well did you know this?
1
Not at all
2
3
4
5
Perfectly
10
Q

What does this graph look like?

A
How well did you know this?
1
Not at all
2
3
4
5
Perfectly
11
Q

What does this graph look like?

A
How well did you know this?
1
Not at all
2
3
4
5
Perfectly
12
Q

What does this graph look like?

A
How well did you know this?
1
Not at all
2
3
4
5
Perfectly
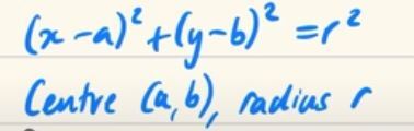
13
Q

What is the equation of a circle?

A
How well did you know this?
1
Not at all
2
3
4
5
Perfectly
14
Q

What does the sine graph look like?

A
How well did you know this?
1
Not at all
2
3
4
5
Perfectly
15
Q

What does the cosine graph look like?

A
How well did you know this?
1
Not at all
2
3
4
5
Perfectly
16
Q

What does the tan graph look like?

17
Q

How would we transform this graph?

18
Q

How would we transform this graph?

19
Q

How would we transform this graph?

A

It would stretch in the y direction by a scale factor of a.

20
Q

How would we transform this graph?

A

It would stretch in the x direction by a scale factor of 1/a.

21
Q

How would we transform this graph?

A

Flip it over the x axis

22
Q

How would we transform this graph?

A

Flip it over the y axis

23
Q

How would we transform this graph?

A

Anything below the x-axis goes up

24
Q

How would we transform this graph?

A

Anything right of the y axis goes up