L_2 Flashcards

(14 cards)

1
Q

At high temperatures, gas becomes _____ ______.

A

chemically reacting

How well did you know this?
1
Not at all
2
3
4
5
Perfectly
2
Q

At high temperatures, air ratio of specific heats no longer equals ___, and is not _____.

A

1.4

constant

How well did you know this?
1
Not at all
2
3
4
5
Perfectly
3
Q

What creates the high temperature shock layer?

A

Flow kinetic energy is converted to internal energy of the gas across the strong bow shock wave

How well did you know this?
1
Not at all
2
3
4
5
Perfectly
4
Q

Gas behavior downstream of the nose region

A

The shock layer gas expands and is cooled around the body.

The Mach number is still high, and the hypersonic boundary layer can become chemically reacting.

(Note that blunt re-entry vehicles like the Shuttle have low Mach boundary layers on windward side)

How well did you know this?
1
Not at all
2
3
4
5
Perfectly
5
Q

For air, what are the principle ionized species?

A

NO+, O+ and N+

(along with associated free electrons)

How well did you know this?
1
Not at all
2
3
4
5
Perfectly
6
Q

For air at 1 atm, what happens around these temperatures:

800 K

2,000 K

4,000 K

9,000 K

>9,000 K

A

800 K: vibrational energy of the molecules becomes significant

2,000 K: dissociation of oxygen begins

4,000 K: O2 dissociation essentially complete, N2 begins to dissociate

9,000 K: most of N2 is dissociated

>9,000 K: partially ionized plasma, O, O+, N, N+, e-

How well did you know this?
1
Not at all
2
3
4
5
Perfectly
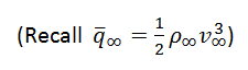
7
Q

Equation for heat flux towards a vehicle

A
How well did you know this?
1
Not at all
2
3
4
5
Perfectly
8
Q

total enthalpy equation

A
How well did you know this?
1
Not at all
2
3
4
5
Perfectly
9
Q
A
How well did you know this?
1
Not at all
2
3
4
5
Perfectly
10
Q
A
How well did you know this?
1
Not at all
2
3
4
5
Perfectly
11
Q

For high speed flight, heat flux towards the wall is ____ proportional to the atmospheric density and goes as the ____ of the velocity.

A

linear

cube

How well did you know this?
1
Not at all
2
3
4
5
Perfectly
12
Q

Heat flux towards the wall is not heat flux into the wall.

How much heat flux gets into the wall is governed by the _____ _____.

A

Stanton number

How well did you know this?
1
Not at all
2
3
4
5
Perfectly
13
Q

What is the Stanton number equation?

A
How well did you know this?
1
Not at all
2
3
4
5
Perfectly
14
Q

Approximate equation for heat flux into wall at high speeds

A
How well did you know this?
1
Not at all
2
3
4
5
Perfectly