Lecture 6 - Hypothesis Testing only Flashcards

(12 cards)

1
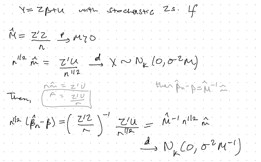
Q

Derive the distributon of n^(1/2)[Beta hat - Beta] with stochastic z’s.

A
How well did you know this?
1
Not at all
2
3
4
5
Perfectly
2
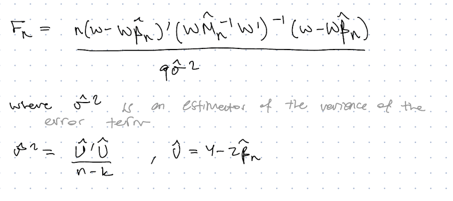
Q

Write the F test statistic (Wald statistic)

A
How well did you know this?
1
Not at all
2
3
4
5
Perfectly
3
Q

Under which circumstances can we make a claim regarding the distribution of the F statistic and to what? Write in detail.

A
How well did you know this?
1
Not at all
2
3
4
5
Perfectly
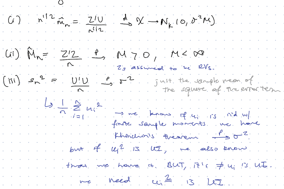
4
Q

If we don’t assume u_i is iid, what assumptions do we need? List in detail.

A
How well did you know this?
1
Not at all
2
3
4
5
Perfectly
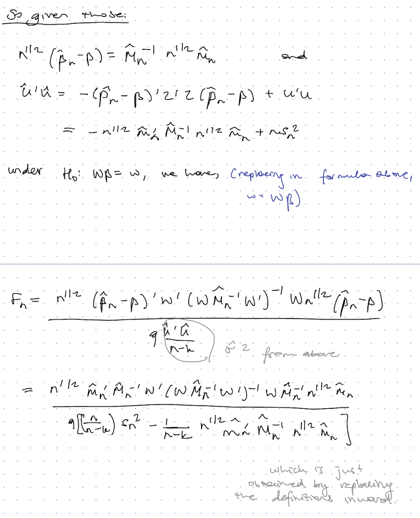
5
Q

Re-write the F statistic given those assumptions.

A
How well did you know this?
1
Not at all
2
3
4
5
Perfectly
6
Q

Make an observation regarding the F statistic and theorems we can use with the given assumptions.

A
How well did you know this?
1
Not at all
2
3
4
5
Perfectly
7
Q

Rewrite the test statistics in terms of what you have derived, and show the denominator derivation in detail.

A
How well did you know this?
1
Not at all
2
3
4
5
Perfectly
8
Q

Derive the distribution of the F statistic.

A
How well did you know this?
1
Not at all
2
3
4
5
Perfectly
9
Q

State the relationships between convegence in a.s, p, r-th mean, d.

A
How well did you know this?
1
Not at all
2
3
4
5
Perfectly
10
Q

State the relationship between convergence in distribution and Op(1).

A
How well did you know this?
1
Not at all
2
3
4
5
Perfectly
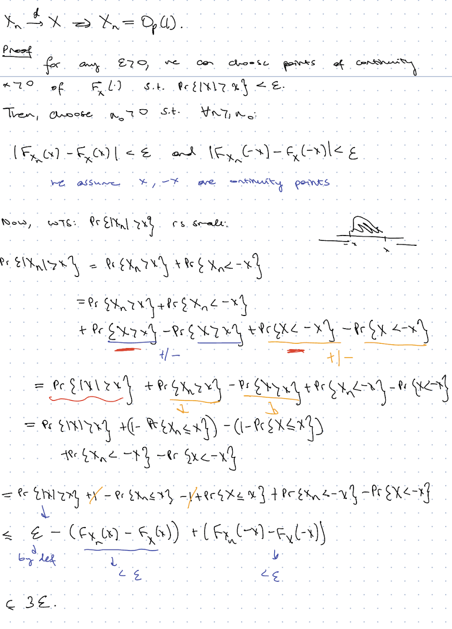
11
Q

State and prove the relationship between convergence in distribution and Op(1).

A
How well did you know this?
1
Not at all
2
3
4
5
Perfectly
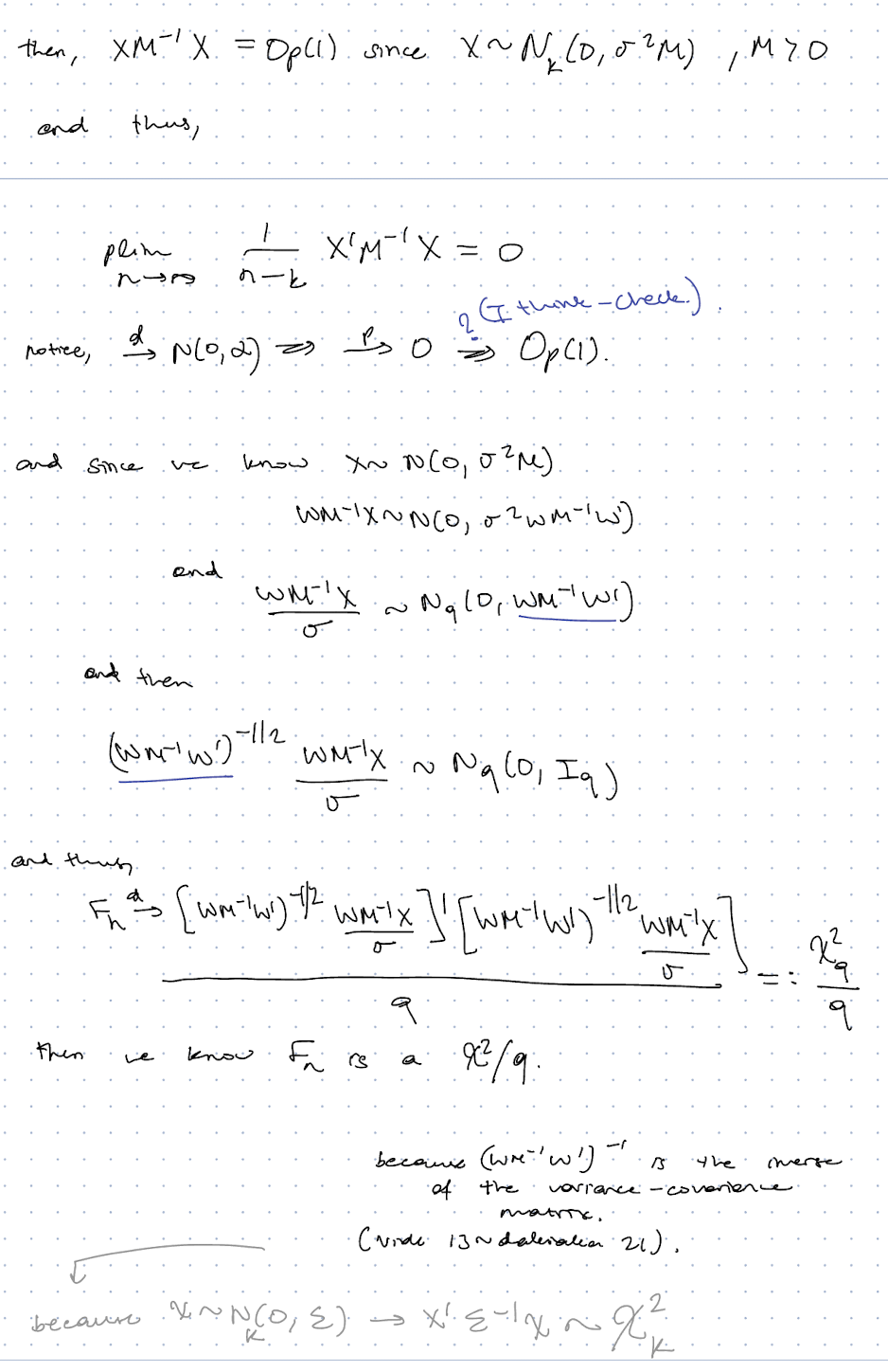
12
Q

Given the denominator from hypothesis testing, show another way to see convergence to q*sigma squared.

A
How well did you know this?
1
Not at all
2
3
4
5
Perfectly