How is density defined?
The mass per unit volume. [kgm-3]
How do you convert 2,3,4 etc… units to SI units?
(eg 5cm3 to m3)
Whatever you do to the unit, you do the same to the prefix
(eg 5cm3 = 5x(10-2)3m3 = 5x10-6m3)
How do you measure the density of an irregular solid?
Calculate density using ρ=M/V
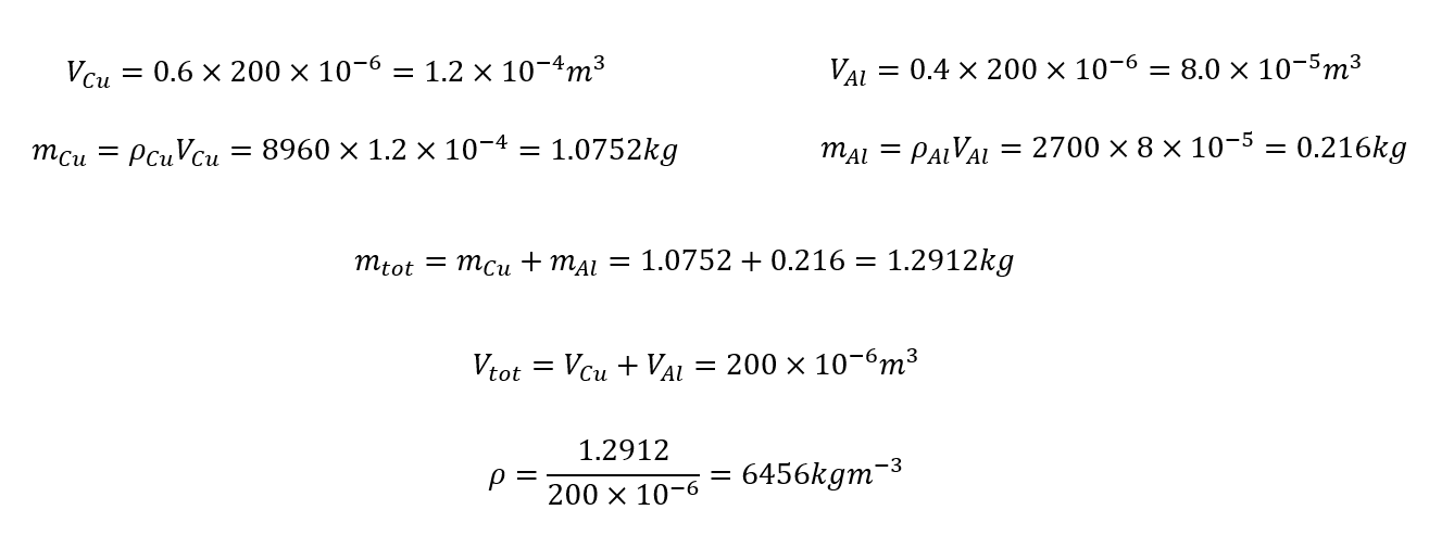
How do you calculate the average density of an alloy?
(Eg 200cm3 5kg rod of 60% copper (8960kgm-3) and 40% aluminum (2700kgm-3) by volume?)
Define Hooke’s Law
When a material is stretched, its extension is proportional to the force applied, up until the limit of proportionality
F=kx
Define the limit of proportionality
The point at which the material stops obeying Hooke’s law.
The graph is no longer a straight line.
Define the elastic limit
The point at which when stretched further the material no longer returns to its original length (there is a permanent extension)
What do the gradient and area of a force extension graph tell you for a spring.
Gradient → The spring constant (must be taken before limit of proportionality)
Area under line → The strain energy stored loading the spring or energy released unloading the spring
What equation calculates energy stored when a material is stretched?
E=½Fx
What is the difference between the elastic limit and the limit of proportionality?
Limit of proportionality is the point at which a stretched spring (or wire) stops obeying Hooke’s law.
The elastic limit is the point at which it doesn’t return to its original length when unloaded.
Will this spring return to its original length if it has been stretched to 35mm?
Yes, because it has not passed the elastic limit
What is a ductile material?
A material with a large plastic region.
What is a brittle material?
A material with a small plastic region.
What is the fracture point of a material?
The point at which a material breaks
How do you know the rubber hasn’t stretched passed its elastic limit?
It still returns to its original length when unloaded.
What is the formula for Young’s Modulus that you need to remember?
What does the gradient and area under a stress-strain graph give?
Gradient → Young’s modulus (before the limit of proportionality)
Area → strain energy per unit volume
What is elastic behaviour?
When a sample that has been deformed by a force returns to its original shape once the force causing the deformation is removed
What is plastic behaviour?
The opposite of elastic behaviour. When the deforming force is removed, the object does not return to its original shape
How is rubber different to a typical spring?
If the deforming force is unloaded at any point before the fracture point, it will return to its original shape
What is different between a force-extension graph for rubber and for a spring?
The gradient of the graph for rubber is constantly changing and so there is no limit of proportionality or region obeying Hook’s Law
The difference between the area under the graph when rubber is being stretched and the area under the graph when the deforming force is removed from the rubber gives…..
The energy retained by the rubber as heat
What does the spring constant represent?
A measure of the resistance to stretching (stiffness).
Units are N/m
How do you combine spring constant in series?
1/Ktot = 1/Kp + 1/Kq
Springs in series sit on top of one another