Forme die Summe in ein Produkt um:
16a2 – 49b2
(4a + 7b)(4a – 7b)
20 Minuten, nachdem ein Güterzug den Bahnhof um 18.00 Uhr mit einer Geschwindigkeit von 42 km/h verlassen hat, folgt ihm ein Expresszug mit 70 km/h auf einem Parallelgleis.
Wann überholt der Expresszug den Güterzug?
Das Überholen erfolgt dann, wenn beide Züge zum gleichen Zeitpunkt am gleichen Ort sind.
Da der Ort, an dem sich die beiden Züge befinden, von der jeweils verstrichenen Fahrzeit abhängt, wird man wieder eine dieser Fahrzeiten als Variable verwenden. Auch hier gibt es zwei Möglichkeiten: Die kleinere Fahrzeit ist die des Expresszuges und die größere die des Güterzugs:
Bezeichnen Sie die kleinere Fahrzeit mit x, so tauchen in der Rechnung keine Minuszeichen auf. Das Ergebnis der Rechnung bezieht sich dann auf den Zeitpunkt 18.20 Uhr.
Bezeichnen Sie die größere Fahrzeit mit x, so tauchen in der Rechnung Minuszeichen auf. Das Ergebnis der Rechnung bezieht sich dann auf den Zeitpunkt 18.00 Uhr.

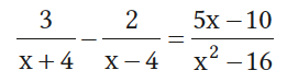
Bestimme zunächst die Definitionsmenge und löse dann auf:

D = ℚ \ {3/2}
x = 5,5

Vor vier Jahren waren Anna und ihre um 5 Jahre jüngere Schwester Birgit zusammen 17 Jahre alt. Wie alt sind sie heute?
Auch die Festlegung der Variablen ist mit der gegebenen Empfehlung recht einfach: Da nach dem heutigen Alter der beiden gefragt ist, sollte man auch das heutige Alter von Birgit (der Jüngeren!) mit x bezeichnen. Dann ist Anna, die Ältere, heute x + 5 Jahre alt.
Aber wie fließt die Angabe, dass die beiden vor vier Jahren zusammen 17 Jahre alt waren, in den Ansatz ein? Hier hilft eine einfache Überlegung:
Wenn Birgit heute x Jahre alt ist, dann war sie vor vier Jahren x – 4 Jahre alt
Wenn Anna heute x 5 Jahre alt ist, dann war sie vor vier Jahren (x + 5) – 4 Jahre alt.
Aus diesen Überlegungen lässt sich jetzt die entsprechende Gleichung entwickeln:
x – 4 + x + 5 – 4 = 17
⇔ 2x – 3 = 17 | +3
⇔ 2x = 20 | :2
⇔ x = 10
Also ist Birgit heute 10 Jahre alt; ihre Schwester Anna ist heute 15 Jahre alt.
Löse auf:
3 – 3 · (3 – 3 · 3)3 =
3 – 3 · (3 – 3 · 3)3 = 3 – 3 · (3 – 9)3 = 3 – 3 · (– 6)3 = 3 – 3 · (– 216) = 651
Löse auf zwei verschiedene Wege auf:
(2 - 3 + 5) · (- 2)

Bestimme zunächst die Definitionsmenge und löse dann auf:

D = ℚ \ {–4; 4}
x = – 2,5

Löse auf zwei verschiedene Wege auf:
(2 - 3 + 4) · (- 3)
(2 - 3 + 4) · (- 3)
= 2 · (- 3) - 3 · (- 3) + 4 · (- 3)
= (- 6) - (- 9) + (- 12)
= - 6 + 9 - 12
= - 9
Bestimme zunächst die Definitionsmenge und löse dann auf:

D = ℚ \ {–1; 1}
x = 3

Multipliziere aus und fasse zusammen:
(x + y) (2x + y) (3x – y)
6x3 + 7x2y – y3
Löse auf:


Die beiden Orte A-Stadt und B-Dorf sind 122 km voneinander entfernt. Fahrzeug I beginnt seine Fahrt um 12.00 Uhr in A-Stadt und fährt mit einer Geschwindigkeit von 50 km/h in Richtung B-Dorf. Um 12.15 Uhr startet Fahrzeug II in B-Dorf und fährt mit 60 km/h in Richtung A-Stadt.
Wann und wo treffen sich die beiden Fahrzeuge?
Hier ist die Festlegung der Variablen der erste Schritt zur Mathematisierung des Problems. In diesem Fall spielen die jeweiligen Fahrzeiten eine wichtige Rolle, denn neben den unterschiedlichen Geschwindigkeiten liegt hier der entscheidende Unterschied zwischen den beiden Fahrzeugen. Der grundlegende Lösungsansatz lautet hier:
Fahrzeug I ist bis zum Treffen eine Viertelstunde länger unterwegs als Fahrzeug II.
Aus dieser Grundidee folgt die Festlegung der Variablen zu
„x bezeichnet die Fahrzeit von Fahrzeug I in Stunden“
Vielleicht fällt Ihnen auf, dass mit dieser Definition von der Regel abgewichen wird, den kleinsten der gesuchten Werte mit x zu bezeichnen. Diese Regel ist aber ja auch nicht bindend, sondern soll nur dafür sorgen, negative Rechenzeichen zu vermeiden.
In diesem Fall ist es jedoch übersichtlicher, sich mit der Definition der Variablen auf den Beginn des ganzen Vorgangs (um 12.00 Uhr) zu beziehen und die Fahrzeit des zuerst gestarteten Fahrzeugs zu bestimmen. Daraus folgt dann die Fahrzeit des zweiten Fahrzeugs durch Subtraktion des Vorsprungs von einer Viertelstunde.
Aus der Fahrzeit x des zuerst losgefahrenen Fahrzeugs folgt die Fahrzeit des anderen Fahrzeugs zu x = 0,25, denn 15 Minuten sind 0,25 Stunden!
Da sich die in einer bestimmten Zeit zurückgelegte Strecke durch Multiplizieren der Fahrzeit mit der Geschwindigkeit berechnen lässt, folgt:
Das erste Fahrzeug legt bis zum Treffen eine Strecke von 50x zurück.
Das später gestartete Fahrzeug legt bis zum Treffen die Strecke 60(x 0,25) zurück.
Wenn diese beiden Strecken zusammen den Betrag von 122 km aufweisen, begegnen sich die beiden Fahrzeuge.
Daraus ergibt sich die Gleichung:
50x + 60(x – 0,25) = 122

Löse auf:

– (x + 1) (x – 1) = – (x2 – 1) = –x2 + 1

Vereinfache:


Löse auf:


Löse auf:
2a2 + 6b2 – (a – 3b)(2a – 2b)

Löse auf:
3 + 4 - 3 · (- 2) + (- 4) + 1 : 5

Löse auf:

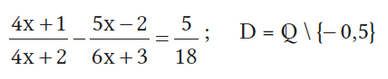
Ein Hinweis auf diesen Ansatz lässt sich bereits daraus ableiten, dass in der Definitionsmenge nur x = – 2 ausgeschlossen wurde, obwohl die Gleichung drei verschiedene Nenner aufweist!
Löse auf:


Löse auf:

kgV finden und erweitern.
x = 5
Wie lautet die Primfaktorzerlegung der Zahl 450?
Wir nehmen die 450 und versuchen erst einmal durch 2 zu teilen. Dies geht auch, dann die 450 endet auf die Zahl 0 und ist daher durch 2 ohne Rest teilbar. Mit 450 : 2 = 225 machen wir den ersten Schritt.
Können wir die 225 zerlegen? Mit einer 2 sicher nicht, dann 225 endet auf eine 5 und ist daher nicht ohne Rest durch 2 teilbar. Daher versuchen wir es mit der nächsten Primzahl, der 3. Dies geht, denn die Quersumme von 225 ist 2 + 2 + 5 = 9. Und 9 ist ohne Rest durch 3 teilbar. Wir können daher die 225 in 3 · 75 zerlegen.
Die 75 können wir nicht durch 2 teilen ohne Rest. Durch 3 hingegen schon, da 75 = 3 · 25.
Die 25 können wir weder durch 2 noch durch 3 ohne Rest teilen. Allerdings durch die nächste Primzahl - die 5 - geht es. Wir erhalten damit 25 = 5 · 5. Damit ist die Zerlegung in Primfaktoren komplett.
Die fertige Berechnung sieht so aus:

Vereinfache:

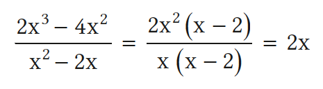
Durch Ausklammern kann der Term so umgeformt werden, dass entsprechend sinnvoll gekürzt werden kann:

Forme die Summe in ein Produkt um, indem du eine binomische Formel anwendest:
9k2 – 12k + 4p2
Nicht möglich, da der 2. Summand (12kp) nicht auftaucht.
Multipliziere aus und fasse zusammen:
(2u2 – 7v2) (25u + 8v)
50u3 − 56v3 + 16u2v − 175uv2