Business Process Mapping: Swimlane Diagram: Who Does What When?

Business Process Mapping: Swimlane Diagram: What type of information about a business process does it portray?
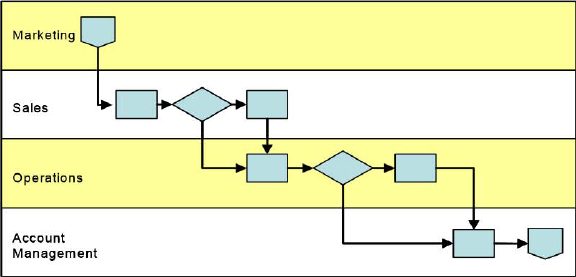
Graphical process elements are organized according to the department responsible for the specific part of the process - It reads from left to right
Business Process Mapping: Swimlane Diagram: What is good about this type of diagram?
Good for reengineering and trying to analyze processes as to whether large efficiencies can be gained by eliminating process handoffs, consolidation roles, better use of technology, and rethinking the value delivered across the entire flow
Business Process Mapping: Swimlane Diagram: Steps for creating a process map
You identify what comes out of the activity and what is the next activity handling the output until you reach the end, the final deliverable of the process. The process can have alternate flows depending on some of the decisions made in the process, and it can also have parallel flows in situations where two roles perform some tasks concurrently.
Business Process Mapping: Designing a System
You cannot design a system to meet operational needs only. You need to design it to incorporate the needs of the managers.
Business Process Re-Engineering: What is Reengineering?
Also called process design, involves the radical redesign of business process, organizational structure, information systems and values of the organization to achieve a breakthrough in business results. Reengineering can reduce delivery time, increase product service quality, enhance customer satisfaction and increase revenues and profitability
Business Process Re-Engineering: The difference between automating and re-engineering a business process
In contrast to simply automating the existing work process, reengineering challenges the fundamental assumptions governing their design. It requires finding and vigorously challenging old rules blocking major business process changes. These rules are like anchors weighing a firm down and keeping it from competing effectively.
Business Process Re-Engineering: The business impact of the Tennessee Valley Authority re-engineering project
Tennessee Valley Authority (TVA) embarked on its largest and most aggressive IS reengineering project in history to improve efficiency and reduce power costs. The efficiency from the new system allowed TVA to purchase in volume and save the company $23.5 million. According to Senior VP of IS “From the sheer magnitude, it was the largest undertaking of the agency’s history.
Business Process Re-Engineering: The major accomplishment of Progressing Insurance, as the result of business process re-engineering (Piccoli)
Business Process Re-Engineering: The essential difference between the Ford and Mazda A/P System