Which part of the atom has the largest specific charge and why?
The electron
(It has the same magnitude of charge as the proton but a much smaller mass)
Why do the proton, neutron and electron deflect differently in a magnetic field?
Neutron → 0 specific charge so zero deflection
Electron → Greatest specific charge so greatest deflection
Proton → Smaller deflection in opposite direction as specific charge smaller and opposite
How do you calculate the specific charge of a nucleus?
Divide the total charge of the protons by the total mass of nucleus
(Protons + Neutrons)
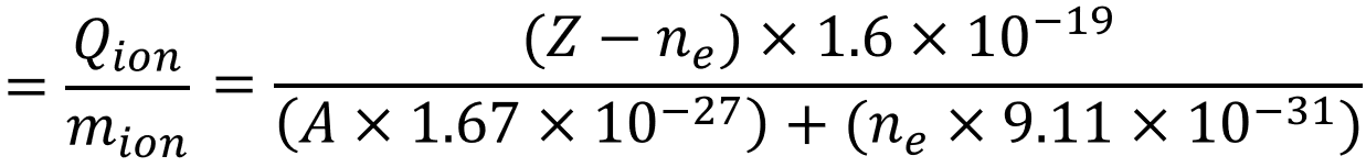
How do you calculate the specific charge of an ion?
Charge of the ion (Protons - Electrons) divided by total mass of ion
What is an isotope?
An atom with the
When will an isotope undergo radioactive decay?
If the nucleus has:
What happens in alpha (α) decay?
A nucleus ejects a helium nucleus (2 protons and 2 neutrons)
Decreasing its nucleon number by 4
And its proton number by 2
What happens in Beta Minus (β-) Decay?
A neutron turns into a proton
Ejecting a fast moving electron (β-) and an anti-electron neutrino
What happens in Beta Plus (β+) Decay?
(Also known as Positron Emission)
A proton turns into a neutron
Ejecting a fast moving positron (β+) and an electron neutrino
What is wrong about this Beta Decay equation?
The nucleon number must not change
Why do the α, β-, β+ and γ deflect differently in a magnetic field?
α and β+ → Deflect in same direction but β+ larger (greater specific charge)
β- → Equal and opposite deflection to β+ (Equal and opposite specific charge)
γ → No deflection (no specific charge)
What is an antiparticle?
A particle with the:
What happens during Annihilation?
A particle collides and annihilates with its correspond antiparticle
And their mass energy (E=mc2) is converted to radiation energy
Producing at least 2 gamma photons
Why do at least 2 photons need to be created during annihilation?
To conserve momentum
Before annihilation ptotal = 0
AFter annihilation ptotal = 0 (can’t be achieved with one photon)
What happens during pair production?
A gamma photon (with energy ≥ 2 × mass energy)
spontaneously creates a particle, anti-particle pair
What condition must pair production meet?
The energy of the gamma photon ≥ Mass energy of the particle anti-particle pair
(Any excess energy is used a kinetic energy for the particles produced)
How was the anti-electron neutrino discovered?
During Beta decay the emitted β- had less energy than expected so another particle carried the rest of the energy
What are the four fundamental forces and their approximate ranges?
What does the strong force do?
What is the exchange particle of the strong force?
Holds nucleons together in the nucleus
Gluons (between quarks), or pions (between hadrons)
Describe the nature of the strong force
Very repulsive over short distance (0-0.5fm)
Attractive over larger distances (0.5fm < d < 3fm)
Negligible beyond 3fm
What does the electromagnetic force act between and what is its exchange particle?
Acts between all particles with charge
Exchange particle is the photon
What does the gravitational force act between?
Particles or objects with mass
What particles does the weak force act on and what does it do?
Acts between leptons and hadrons and causes the decay of hadrons (by changing quark structure)
What are fundamental particles that make up the standard model? (that you need to know)
NOTE: Each of the leptons and and quarks has an corresponding anti-lepton and anti-quark