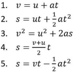
What are the 5 suvat equations?
Equation for moment?
force x perpendicular distance
The equation for force in terms of momentum
f = momentum / time
Equation for elastic potential energy
1/2ke^2
Equation for liquid pressure
hpg (height x density x gravity)
Equation for hooke law
F = ke
What is the difference between hooke law and elastic potential energy
hooke law is force applied
elastic potential energy is the energy within
Equation for energy in terms of voltage
(there’s two)
E= VQ
E= VIt
The equation for specific heat of fusion/vaporisation
Q = mL
Q- heat absorbed
Equation for power in terms of force
P= force x velocity
Equation for power for electricity
P = IV
P= I^2R
P= V^2/R
Equations for transformers
Equation for weight in terms for mass
mass x g
Momentum in terms of mass
mass x velocity
The equation for surface area and volume of cylinder
Surface area= 2πrh+2πr2
Volume = πr^2 x l
The equation for surface area and volume of cone
Surface area = πr2 + πrl
Volume = πr2 x h/3
The equation for surface area and volume of sphere
Surface area = 4πr2
Volume = 4/3 πr3