Measurement Scales
“N” Nominal
“O” Ordinal
“I” Interval
“R” Ratio
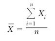
Population Mean Formula

Sample Mean Formula

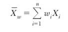
Weighted Mean Formula

Geometric Mean Formula
Used when calculating investment returns over multiple periods (TWM) or when measuring compound growth rates.
Harmonic < Geometric < Arithmetic

Geometric Mean Return Formula

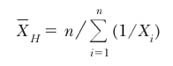
Harmonic Mean Formula
Used to compute average cost of shares purchased over time.
Harmonic < Geometric < Arithmetic

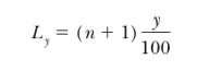
Position of a percentile in an array with n entries

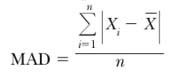
Mean Absolute Deviation Formula (MAD)

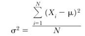
Population Variance Formula

Population Standard Deviation Formula

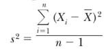
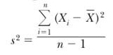
Sample Variance Formula

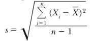
Sample Standard Deviation Formula

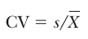
Coefficient of Variation Formula
Measures risk (variability) per unit of expected return (mean). Higher CV is riskier.

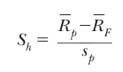
Sharpe Ratio Formula
R(p) = portfolio return R(f) = risk-free return S(p) = standard deviation of portfolio returns

Chebyshev’s Inequality
For any distribution with finite variance, the proportion of the observations within k standard deviations of the arithmetic mean is at least 1-1/k^2 for all k>1
Dispersion
Measures the variability around the central tendency (mean). Addresses risk.
Skewness
the extent to which a distribution is not symmetrical.
Left Skewed Distribution

Right Skewed Distribution

Kurtosis
Statistical measure that tells us when a distribution is more or less peaked than a normal distribution. Kurtosis = 3 for normal distributions.
Leptokurtic distribution
Lung Measured Pulmonary Function Test
Leptokurtic More Peaked Fatter Tail
A distribution that is more peaked than a normal distribution. Kurtosis > 3 (excess kurtosis > 0)

Platykurtic distribution
A distribution that is less peaked than a normal distribution. Kurtosis < 3 (excess kurtosis < 0)

Mesokurtic
A distribution identical to the normal distribution.