T2 - One-Comp Open Model Flashcards

(23 cards)

1
Q

What factors do rate and extent of tissue distribution depend on?

A
  1. Blood flow to organs
  2. Physiological properties of drug
  3. Affinity of tissues for drug (binding)
  4. Size of organ (Large = greater distribution)
How well did you know this?
1
Not at all
2
3
4
5
Perfectly
2
Q

What are the basic assumption of a 1-COM model?

A
  1. The body is single uniform compartment
  2. Instantaneous administration of entire does
  3. Rapid distribution throughout the body
  4. Drug elimination starts immediately upon administration
  5. The simplest representation of drug disposition
How well did you know this?
1
Not at all
2
3
4
5
Perfectly
3
Q

What should we do if drug distribution is rapid enough?

A

Treat that body as a simple compartment

How well did you know this?
1
Not at all
2
3
4
5
Perfectly
4
Q

What is considered in a well-stirred model?

A

There is uniform and instantaneous distribution

How well did you know this?
1
Not at all
2
3
4
5
Perfectly
5
Q

What is Db?

A

Administration of a dose into a single compartment

How well did you know this?
1
Not at all
2
3
4
5
Perfectly
6
Q

What is Vd?

A

-The apparent volume of distribution found in the single compartment
-Not the actual volume, theoretically to which the drug distributes
- Porportional to dose and concentration in plasma

How well did you know this?
1
Not at all
2
3
4
5
Perfectly
7
Q

What is C0p?

A

Plasma concnetraion at time 0

How well did you know this?
1
Not at all
2
3
4
5
Perfectly
8
Q

How do we calculate C0p?

A
How well did you know this?
1
Not at all
2
3
4
5
Perfectly
9
Q

What is k?

A
  • Elimination rate constant
  • Proportion of the rate of drug elimination and the amount of drug in the body at any given time
  • The rate of drug elimination changes as the amount of drug in the body changes
  • The summation of all elimination processes
How well did you know this?
1
Not at all
2
3
4
5
Perfectly
10
Q

How do we calculate k?

A
How well did you know this?
1
Not at all
2
3
4
5
Perfectly
11
Q

What is the importance of calculating k?

A

-Gives us a constant fractional amount of drug that is eliminated
-Allows us to summarize drug elimination independent of amount of drug in body and independent of time (straight line relationship)

How well did you know this?
1
Not at all
2
3
4
5
Perfectly
12
Q

What is the 1-COM model used for?

A
  1. Predict concentrations in plasma not tissue
  2. Assume that tissue concentrations decline proportionally with plasma concentrations
How well did you know this?
1
Not at all
2
3
4
5
Perfectly
13
Q

What concentrations in the tissue be the same as plasma?

A

Tissues have different concentration than other tissues, but changes in tissue concentrations are proportional to plasma concentrations

How well did you know this?
1
Not at all
2
3
4
5
Perfectly
14
Q

Identify the dependent and independent variable of first order processes?

A

Rate elimination is dependent on amount of drug at a given time
Elimination rate constant is independent on amount of drug at a given time
Clearance is independent of change in concentration of drug

How well did you know this?
1
Not at all
2
3
4
5
Perfectly
15
Q

What is half-life?

A

The time it takes for drug concentration to drop by 50%

How well did you know this?
1
Not at all
2
3
4
5
Perfectly
16
Q

How do we calculate half-life in first order?

17
Q

What is clearance?

A
  • The volume of plasma fluid cleared of drug per unit time (L/h, mL/min)
  • Drug elimination from the body without respect to mechanism of elimination (renal, hepatic)
18
Q

How do we calculate clearance?

19
Q

What are the base equation defining system?

20
Q

How do we calculate Vd?

21
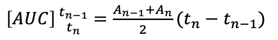
Q

How do we calculate AUC?

22
Q

What is the benefit for K?

A

Allows us to summarize elimination independent of amount and time

23
Q

What are the pK parameters?

A

Elimination rate constant
Apparent volume of distribution
Clearance
Half-life
AUC