A general approach is that our outcomes can be predicted by a model and what remains
is the error
The i in the general model shows
e.g., outcome 1 is equal to model plus error 1 and outcome 2 is equal to model plus error 2 and so on…
For correlation, the outcome is modelled by
scaling (multiplying by a constant) another variable
Equation of correlation
What does this equation of correlation mean and what does b1 mean? - (2)
‘the outcome for an entity is predicted from their score on the predictor variable plus some error’.
model is described by a parameter, b1, which in this context represents the relationship between the predictor variable (X) and the outcome.
If you have a 1 continous variable which meets assumtpion of parametric test then you can conduct a
pearson correlation or regression
Variance is a feature of outcome measurements we have obtained and we want to predict with a model that
captures the effect of the predictor variables we have manipulated or measured
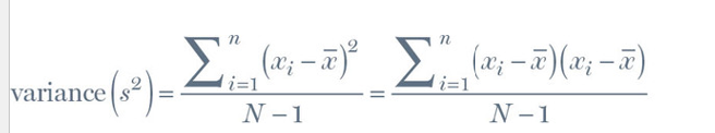
Variance of a single variable represents the
average amount that the data cary from the mean
Variance is the standard deviation
squared (s squared)
Variance formula - (2)
xi minus average of all scores of pp which is squared and divided by total number of participants minus 1
done for each participant (sigma)
Variance is SD squared meaning that it captures the
average of the squared difference the outcome values from the mean of all outcomes (explaining what the formula of variance does)
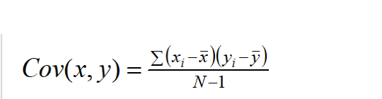
Covariance gathers information on whether
one variable covarys with another
In covariance if we are interested whether 2 variables are related then interested whether changes in one variable are met with changes in other
therefore.. - (2)
when one variable deviates from its mean we
would expect the other variable to deviate from its mean in a similar way.
So, if one variable increases then the other, related variable, should also increase or even decrease at the same level.
The simplest way to look at whether 2 variables are associated is to look at whether they.. which means..
covary
look at the relationship between the 2 variables
If one variable covaries with another variable then it means these 2 variables are
related
To get SD from variance then you would
square root variance
What would you do in covariance formula in proper words? - (5)
Example of calculaitng covariance and what does answer tell you?
The answer ispositive: that tells us the x and y values tend to risetogether.
What does each element of covariance formula stand for? - (5)
X = the value of ‘x’ variable
Y = the value of ‘y’ variable
X(line) = mean of ‘x’ - e.g., green
Y(line) = mean of ‘y’ - e.g., blue
n = the number of items in the data set
covariance will be large when values below
the mean for one variable
What does a positive covariance indicate?
as one variable deviates from the mean, the other
variable deviates in the same direction.
What does this diagram show? - (5)
What does negative covariance indicate?
a negative covariance indicates that as one variable deviates from the mean (e.g. increases), the other deviates from the mean in the opposite direction (e.g. decreases).
What is the problem of covariance as a measure of the relationship between 2 variables? - (5)
dependent upon the units /scales of measurement used
So covariance is not a standardised measure
e.g., if 2 variables measured in miles and covariance is 4.25 then if we convert data to kilometres then we have to calculate covariance again and see it increases to 11.
Dependence of scale measurement is a problem as can not compare covariances in an objective way –> can not say whether covariance is large or small to another data unless both data sets measured in same units
So we need to STANDARDISE it.