Absatzplanung Flashcards

(24 cards)

1
Q

Nenne die 4 Typen von Zeitreihen der Nachfrage!

A

Konstantes Niveau (keine Steigung)-L (level) Trend (lin. Funktion)-T Saisonalität (Sinus)-S Irregulär-I

How well did you know this?
1
Not at all
2
3
4
5
Perfectly
2
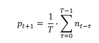
Q

Wie berechnet man den gleitenden Durchschnitt?

A

Arithmetisches Mittel auf Basis der letzten N Vergangenheitswerte

How well did you know this?
1
Not at all
2
3
4
5
Perfectly
3
Q

Welche 3 Prognose Verfahren können verwendet werden bei einem konstantem Niveau?

A

 Arithmetisches Mittel  Gleitender Durchschnitt  Einfache exponentielle Glättung 1. Ordnung

How well did you know this?
1
Not at all
2
3
4
5
Perfectly
4
Q

Was ist das Verfahren von Holt?

A

Ein Prognose Verfahren bei eine Trend-Nachfrage

How well did you know this?
1
Not at all
2
3
4
5
Perfectly
5
Q

In welche 4 Komponenten lassen sich Zeitreihen zerlegen?

Woraus ergibt sich der Prognoswert?

A

L - Niveau (Level)

T - Langfristiger Trend

S - Saisonale Schwankungen

I - Unregelmäßige Zufallschwankungen

Prognosewert = Systematische Komponenten + Irreguläre Komponente

How well did you know this?
1
Not at all
2
3
4
5
Perfectly
6
Q

Welches Verfahren verwendet man zur Prognose von Saisonalitäten?

A

Dreifache exponentielle Glättung

How well did you know this?
1
Not at all
2
3
4
5
Perfectly
7
Q

Geben sie die Formel des Arithmetischen Mittels an

A
How well did you know this?
1
Not at all
2
3
4
5
Perfectly
8
Q

Geben sie die Formel für den Gleitenden Durchschnitt an

A
How well did you know this?
1
Not at all
2
3
4
5
Perfectly
9
Q

Geben sie die Formel für die Exponentielle Glättung 1. Ordnung an. Bennen sie dabei die einzelnen Parameter.

Gehen sie von einer Schwankung um ein festes Niveau aus.

A
How well did you know this?
1
Not at all
2
3
4
5
Perfectly
10
Q

Was bedeutet ein hohes bzw. niedriges alpha bei der einfachen exponentiellen Glättung erster Ordnung?

A

hohes Alpha -> schwache Reaktion auf Trends

niedriges Alpha -> starke Reaktion auf Trends

How well did you know this?
1
Not at all
2
3
4
5
Perfectly
11
Q

Welche Nachteile haben die Verfahren im Allgemeinen?

A

Sie produzieren Fehlmengen

How well did you know this?
1
Not at all
2
3
4
5
Perfectly
12
Q

Wozu dient der Prognosefehler?

A

Der Prognosefehler dient der Beurteilung der Güte einer Prognose, um ggf das Modell oder Parameter anzupassen.

How well did you know this?
1
Not at all
2
3
4
5
Perfectly
13
Q

Geben sie eine Formel zu errechnung des Prognosefehlers an.

A
How well did you know this?
1
Not at all
2
3
4
5
Perfectly
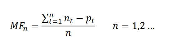
14
Q

Mittlerer Fehler nach n Perioden

A
How well did you know this?
1
Not at all
2
3
4
5
Perfectly
15
Q

Mittlerer Absoluter Fehler nach n Perioden (Formel)

A
How well did you know this?
1
Not at all
2
3
4
5
Perfectly
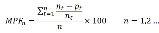
16
Q

Mittlerer Prozentualer Fehler nach n Prognosen (Formel)

17
Q

Mittlerer absoluter Prozentualer Fehler nach n Perioden (Formel)

18
Q

Was ist Big Data?

A

Datenmengen, die die kapazitäten von herkömmlichen Datenverarbteitungssystemen überschreiten

19
Q

Nennen sie 3 Beispiele, wie sich mittels Big Data eine Verbindung zwischen Produktionsensorik und Betriebswirtschaftlicher Ebene realisieren lässt.

A
  • Qualitätsschwankungen frühzeitig erkennen
  • Anpassung der Produktionsplanung um höhere Kapazitätsauslastung zu erreichen
  • Ungenutzte Datenmengen in nützliche Informationen umwandeln
20
Q

Nennen sie einige Kritische Aspekte gegenüber Big Data

A
  • Mehr Daten heißt nicht bessere Daten
  • Daten werden oft aus dem Kontext gelöst und in falsche Zusammenhänge gesetzt (Black Box Verarbeitung)
  • Vorübergehender Hype
  • Möglichkeiten zum Speichern und Verarbeiten wachsen schneller als betrachtete Datenmengen. -> Es gibt kein Big Data
21
Q

Was sind künstliche Neuronale Netze?

A

Mit künstlichen Neuronalen Netzen werden aus Datenmengen Systemzusammenhänge trainiert um Prognosen abzuleiten.

22
Q

Nennen sie 2 Vorteile künstlicher neuronaler Netzt gegenüber klassischen Prognoseverfahren.

A
  • Lernfähigkeit
  • Toleranz gegenüber fehlenden oder fehlerhaften Daten
23
Q

Nennen sie 2 Nachteile Künstlicher Neuronaler Netzt gegenüber klassischen Prognoseverfahren.

A
  • Blackbox - keine Erklärfunktion
  • Netzkonfiguration oft aufwendig und intransparent
24
Q

Beschreiben sie das Vorgehen wenn sie mit Hilfe eines neuroanalen Netzes die Stromproduktion einer Windturbine optimieren wollen würden.

A
  1. Datensatz bestehend aus:
    1. Input Daten (Wind, Wetter, Huansöhne)
    2. historische Outputdaten (Erz. Strom)
  2. Aufstellen eines neuronalen Netzwerks (Anfangsgewichtugen zufällig)
  3. Anhand des Fehlers der Prognose werden die Gewichtungen angepasst, bis das Ergebnis gut genähert ist oder die Daten erschöpft sind.
  4. Test des Systems mittels Testdaten