Aggregate Excess Loss Cost Estimation Flashcards

(34 cards)

1
Q

Advantage of using vertical slices

A

Size method

More intuitive

How well did you know this?
1
Not at all
2
3
4
5
Perfectly
2
Q

Advantage of using horizontal slices

A

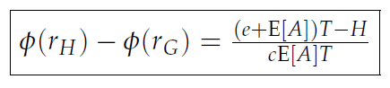
Layer method

Faster if calculating XS losses for multiple limits

How well did you know this?
1
Not at all
2
3
4
5
Perfectly
3
Q

Entry ratio

A

Ratio of actual loss to expected loss

Used to adjust for size of risk

How well did you know this?
1
Not at all
2
3
4
5
Perfectly
4
Q

Table M charge, definition

A

Expected percent of losses > rE

How well did you know this?
1
Not at all
2
3
4
5
Perfectly
5
Q

Table M savings, definition

A

Expected percent of losses < rE

How well did you know this?
1
Not at all
2
3
4
5
Perfectly
6
Q

Table M process

A

Find all given r

Ø(ri) = (ri+1 - ri) * % of risks above r

Ø(rmax) = 0

Savings = Ø + r - 1

How well did you know this?
1
Not at all
2
3
4
5
Perfectly
7
Q

Why Table M charge columns would be needed for different risk sizes

A

Variance of aggregate loss distribution will vary by risk size

Larger size, less variance

How well did you know this?
1
Not at all
2
3
4
5
Perfectly
8
Q

Diagram representing Table M charge and savings

A
How well did you know this?
1
Not at all
2
3
4
5
Perfectly
9
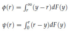
Q

Formulas for Table M charge and savings, continuous distribution

A
How well did you know this?
1
Not at all
2
3
4
5
Perfectly
10
Q

First and second derivatives of Table M charge and savings

A
How well did you know this?
1
Not at all
2
3
4
5
Perfectly
11
Q

What happens to charge and savings as entry ratio and risk size go to infinity

A

Variance in ratios goes to zero, so curve will flatten

Charge becomes max (0, 1 - r)

How well did you know this?
1
Not at all
2
3
4
5
Perfectly
12
Q

How an error in estimation of expected losses impacts insurance charge

A

% error is greatest for large policies with high r

$ error is greatest for large policies with low r

How well did you know this?
1
Not at all
2
3
4
5
Perfectly
13
Q

Adjusted expected losses for a risk

A

Expected losses x State Hazard Group Differential

How well did you know this?
1
Not at all
2
3
4
5
Perfectly
14
Q

Purpose of State Hazard Group Differential

A

Some policies of same size are riskier than others

Differential adjusts expected losses to match those of a different size but same distribution shape

How well did you know this?
1
Not at all
2
3
4
5
Perfectly
15
Q

How NCCI moving to expected claim counts (instead of losses) will change risk mapping

A

No longer need to update for inflation

Riskier groups will lower expected # of claim counts, so variance of aggregate distribution would be higher

If severity distribution differs in scale only, it will be effective

How well did you know this?
1
Not at all
2
3
4
5
Perfectly
16
Q

Guaranteed Cost Premium

A

GCP = (e + E[A])T

17
Q

Expected retrospective premium

A

E[R] = (B + c(E[A] - I))T

18
Q

Basic Premium formula

A

B = e - (c - 1)E[A] + cI

19
Q

Expense component of basic premium

A

e - (c - 1)E[A]

20
Q

Value, or charge difference

A

Only true if the plan is balanced

21
Q

Entry difference

22
Q

Limited Table M entry ratios

A

r* = limited losses / expected limited losses

23
Q

Basic premium with limited Table M

A

BLM = e - (c - 1)E[A] + c(ILM + kE[A])

k = 1 - expected limited losses / expected unlimited losses

24
Q

Excess Loss Pure Premium Factor (also called excess ratio)

A

k = 1 - expected limited losses / expected unlimited losses

25
Balance equations, limited Table M
Same as Table M balance equations but with expected limited loss **on the denominator**
26
Relationship between expected losses and insurance charge
E[L] = E[A] - I
27
ICRLL definition
Insurance Charge Reflecting Loss Limitation
28
ICRLL approximation, adjusted expected losses
Adjusted Expected Loss = E[A] x SHG differential x (1 + 0.8k) / (1 - k)
29
ICRLL Approximation
Used to simulate limited Table M by adjusting column used from regular Table M Occurrence limit reduces variance of aggregate loss distribution, reflecting a similar larger sized risk
30
Future of ICRLL
No longer needed after NCCI publishes Limited Table Ms
31
Differences between Table L and Table M
Table L also includes charge for per occurrence limit in addition to charge for aggregate limit
32
Entry ratios for Table L
r = limited loss / expected unlimited loss
33
Table L balance equations
Same as Table M, except using Table L charges
34
Table L, graphically