Bernegger Flashcards

(10 cards)

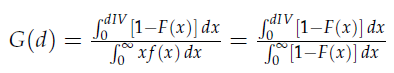
1
Q

Exposure curve G(d)

A

E[X; dIV] / E[X]

How well did you know this?
1
Not at all
2
3
4
5
Perfectly
2
Q

Four conditions for a valid normalized exposure curve

A

G(0) = 0

G(1) = 1

G’(d) >= 0

G’‘(d) <= 0

How well did you know this?
1
Not at all
2
3
4
5
Perfectly
3
Q

G’(d) formula

A

(1 - F(d)) / E[y]

How well did you know this?
1
Not at all
2
3
4
5
Perfectly
4
Q

Expected value using exposure curve

A

µ = 1 / G’(0)

µ = expected severity / MPL

How well did you know this?
1
Not at all
2
3
4
5
Perfectly
5
Q

Probability of total loss, exposure curve

A

p = G’(1) / G’(0)

How well did you know this?
1
Not at all
2
3
4
5
Perfectly
6
Q

Conditions for MBBEFD parameters

A

g >= 1

b >= 0

How well did you know this?
1
Not at all
2
3
4
5
Perfectly
7
Q

Problems with exposure rating, Bernegger

A

How to divide total premiums to each risk size group between cedant and reinsurer

Solved in two steps:

  1. Estimate expected loss by applying ELR to gross premiums
  2. Divide expected losses into retained and ceded portions with help of loss distribution functions
How well did you know this?
1
Not at all
2
3
4
5
Perfectly
8
Q

Curve fitting, if p and µ are given

A

g = 1/p

b can be determined based on µ; iterative process

How well did you know this?
1
Not at all
2
3
4
5
Perfectly
9
Q

MBBEFD curve fitting if µ and σ are given

A
  1. p* = E[y2] = µ2 + σ2
  2. g* = 1/p* and b* can be based on µ
  3. Recalculate p*
  4. Repeat until E*[y2] is close enough to E[y2]
How well did you know this?
1
Not at all
2
3
4
5
Perfectly
10
Q

Swiss Re curves

A

c = {1.5, 2.0, 3.0, 4.0} go very well with Swiss Re curves {Y1, Y2, Y3, Y4}

c = 5.0 coincides with Lloyd’s curve for industrial risks

How well did you know this?
1
Not at all
2
3
4
5
Perfectly