Chapter 11 Integration Flashcards

(3 cards)

1
Q

What is the formula for Area A?

A
How well did you know this?
1
Not at all
2
3
4
5
Perfectly
2
Q

If dy/dx=x^n, how do you find the function y?

A
How well did you know this?
1
Not at all
2
3
4
5
Perfectly
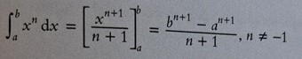
3
Q

How do you calculate a definite integral?

A
How well did you know this?
1
Not at all
2
3
4
5
Perfectly