Chapter 12 Vectors Flashcards

(14 cards)

1
Q

What is a unit vector in the same direction as r = ai + bj?

A

Example: If r = 3i + 4j, the unit vector is (3/5)i + (4/5)j.

How well did you know this?
1
Not at all
2
3
4
5
Perfectly
2
Q

How is the length (or modulus or magnitude) of the vector r written?

A

The length of the vector r is written as |r|

Example: If r = 3i + 4j, then |r| = 5.

How well did you know this?
1
Not at all
2
3
4
5
Perfectly
3
Q

How is the vector AB defined?

A

The vector AB = b - a, where a and b are the position vectors of A and B.

How well did you know this?
1
Not at all
2
3
4
5
Perfectly
4
Q

What is the position vector OP of a point P?

A

The position vector OP of a point P is the vector joining the origin to P.

How well did you know this?
1
Not at all
2
3
4
5
Perfectly
5
Q

How is a resultant vector usually denoted?

A

A resultant vector is usually denoted by a double-headed arrow.

How well did you know this?
1
Not at all
2
3
4
5
Perfectly
6
Q

How is the resultant of two or more vectors found?

A

The resultant of two or more vectors is found by the sum of the vectors.

How well did you know this?
1
Not at all
2
3
4
5
Perfectly
7
Q

In what forms may a vector be specified?

A

A vector may be specified in component form (xi + yj or column vector ) or in magnitude-direction form (r, θ).

How well did you know this?
1
Not at all
2
3
4
5
Perfectly
8
Q

How are unit vectors in the x and y directions denoted?

A

Unit vectors in the x and y directions are denoted by i and j, respectively.

How well did you know this?
1
Not at all
2
3
4
5
Perfectly
9
Q

What is a unit vector?

A

A unit vector is a vector with magnitude 1.

How well did you know this?
1
Not at all
2
3
4
5
Perfectly
10
Q

How are vectors typeset?

A

Vectors are typeset in bold, a or OA, or in the form (OA) with arrow above.

How well did you know this?
1
Not at all
2
3
4
5
Perfectly
11
Q

What is a scalar quantity?

A

A scalar quantity has magnitude only.

How well did you know this?
1
Not at all
2
3
4
5
Perfectly
12
Q

What is a vector quantity?

A

A vector quantity has magnitude and direction.

How well did you know this?
1
Not at all
2
3
4
5
Perfectly
13
Q

What is the formula to calculate the magnitude of a vector?

A
How well did you know this?
1
Not at all
2
3
4
5
Perfectly
14
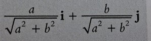
Q

What is the formula to calculate a Unit Vector?

A
How well did you know this?
1
Not at all
2
3
4
5
Perfectly