Experiment
Any activity or process whose outcome is uncertain
Sample Space (S)
Event
AUB

A intersection B

A Complement

Null Event
Mutually Exclusive

Complementary Events

Independent Events
Axioms
Objective Interpretation of Probability
Limiting (long-run) Relative Frequency
Relative Frequency
Subjective Interpretation of Probability
More Probability Properties
Equally Likely Outcomes

The Product Rule for Ordered Pairs
Product Rule for k-Tuples
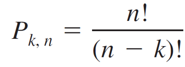
Permutation

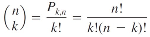
Combination

Relationship between Permutations and Combinations

Conditional Probability

The Multiplication Rule for P(A ∩ B)
