Chapter 4 Flashcards

(31 cards)

1
Q

Review: Continous Variable

A
  • a rv X is continuous if possible values consist of an entire interval on the number line [possibly infinite in extent, e.g. (0, infinity))
  • in general, a random variable is continuous if a measurement of some sort is required to determine its value
    • fuel efficiency (mpg), time necessary to complete a lap (min), commuting distance (miles)
How well did you know this?
1
Not at all
2
3
4
5
Perfectly
2
Q

Probability Distribution of a Continous Random Variable

A
  • specified by a mathematical function f(x), called the probability density function (pdf)
    • the graph of the pdf is called the density curve
How well did you know this?
1
Not at all
2
3
4
5
Perfectly
3
Q

Density Curve

A
  • graph of pdf
    • density curve cannot fall below horizontal axis, or else you would have negative probabilities
      • height of density curve above x = f(x) >= 0
    • total area under density curve = 1
      • f(x)dx = 1
How well did you know this?
1
Not at all
2
3
4
5
Perfectly
4
Q

Let a and b be any two numbers with a

A
  • the probability that the value of X falls someplace in the interval between a and b is the area under the density curve
How well did you know this?
1
Not at all
2
3
4
5
Perfectly
5
Q

Example 4

The direction of an imperfection with respect to a reference line on a circular object such as a tire, brake rotor, or flywheel is, in general, subject to uncertainty.

Consider the reference line connecting the valve stem on a tire to the center point, and let X be the angle measured clockwise to the location of an imperfection. One possible pdf for X is

A
How well did you know this?
1
Not at all
2
3
4
5
Perfectly
6
Q

Example 4 (contd.)

Graph the pdf

A
How well did you know this?
1
Not at all
2
3
4
5
Perfectly
7
Q

Example 4:

What is the probability that the angle is between 90º and 180º?

A
How well did you know this?
1
Not at all
2
3
4
5
Perfectly
8
Q

What is the value of c?

A
How well did you know this?
1
Not at all
2
3
4
5
Perfectly
9
Q

Continous Random Variables and Probability Distributions: Example

The probability that the machine in use for between 0.25 and 0.75 hours (between 15 minutes and 45 minutes) is:

A
How well did you know this?
1
Not at all
2
3
4
5
Perfectly
10
Q

Continous Random Variables and Probability Distributions: Mean

A
How well did you know this?
1
Not at all
2
3
4
5
Perfectly
11
Q

Continous Random Variables and Probability Distributions: Variance

A
How well did you know this?
1
Not at all
2
3
4
5
Perfectly
12
Q

Continous Random Variables and Probability Distributions: Cumulative Distribution Function (cdf)

A
How well did you know this?
1
Not at all
2
3
4
5
Perfectly
13
Q

Continous Random Variables and Probability Distributions: Cumulative Distribution Function (cdf)

A
How well did you know this?
1
Not at all
2
3
4
5
Perfectly
14
Q

Continous Random Variables and Probability Distributions: Cumulative Distribution Function (cdf)

The cdf F(x)=P(X<=x):

The only possible values of X are numbers in the interval between 0 and 1, so

A
How well did you know this?
1
Not at all
2
3
4
5
Perfectly
15
Q

Complete cdf of Example

A
How well did you know this?
1
Not at all
2
3
4
5
Perfectly
16
Q

How to recapture pdf from cdf?

A
  • By differentiation
17
Q

Finding the median of a continuous variable cdf:

A
  • this is the value for which the area under the density curve to its left is 0.5, and the area under the density curve to the right of the value is also 0.5
  • F(median) = 0.5
  • Median is the 50th percentile of the distribution
18
Q

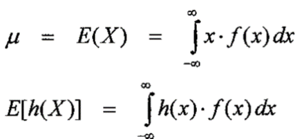
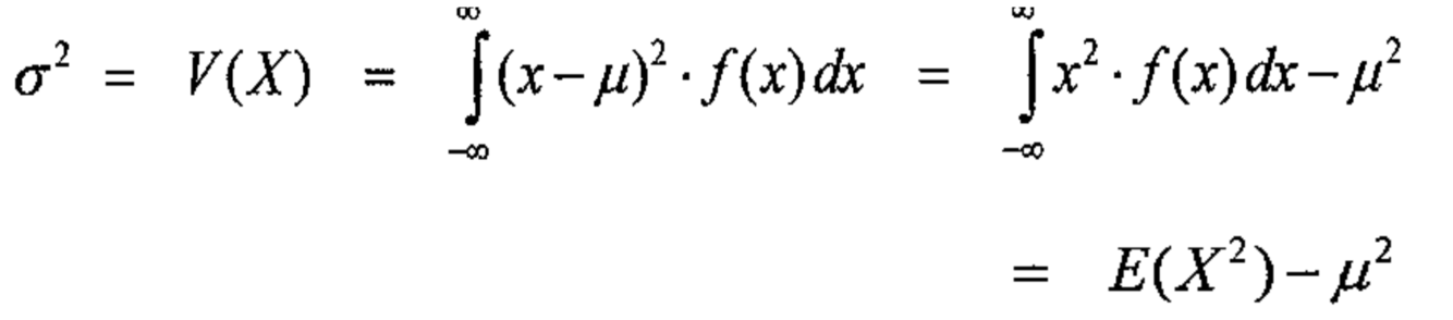
Expected Values, Variance, and Standard Deviation

19
Q

Expected Values, Variance, and Standard Deviation (contd.)

20
Q

Obtaining f(x) from F(x)

A
  • For X discrete, the pmf is obtained from the cdf by taking the difference between two F(x) values. The continuous analog of a difference is a derivative.
  • The following result is a consequence of the Fundamental Theorem of Calculus.

Proposition

  • If X is a continuous rv with pdf f (x) and cdf F(x), then at every x at which the derivative F’(x) exists, F’(x) = f(x)
21
Q

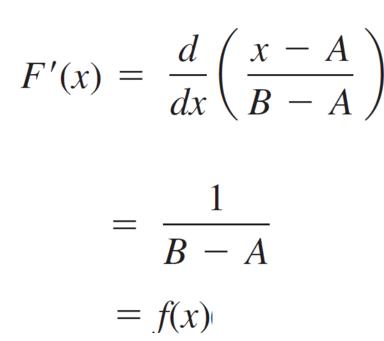
Example - Uniform Distribution

22
Q

Example - Uniform Distribution (contd.)

A
  • When X has a uniform distribution, F(x) is differentiable except at x = A and x = B, where the graph of F(x) has sharp corners.
  • Since F(x) = 0 for x < A and F(x) = 1 for x > B, F’(x) = 0 = f(x) for such x.

For A < x < B,

23
Q

Specific Continuous Distributions: Uniform, Exponential, Normal

24
Q

PDF of Standard Uniform Distribution

25
CDF of Standard Uniform Distribution
26
Exponential Distribution
27
Exponential Density Curves
28
Exponential Distribution - Mean and Variance
29
Exponential Distribution - Cumulative Distribution Function (cdf)
30
Exponential Distribution - Plot of the cdf
31
Exponential Distribution - Example The length of a particular telemarketing call has an exponential distribution with mean value 1.25 minutes (lambda = 0.8). The probability that the call lasts between 1 and 2 minutes is: