1
Q

Intuitively, why should a NN/MLP with a bunch of successive layers of processing be good at finding patterns, like identifying images of digits?

A

The intuitive idea is that each subsequent layer is being trained to recognize higher-level patterns. So maybe layer 1 is edge detection, layer 2 is finding a shape like a circle, and layer 3 can identify full digits.

In a more complex image, maybe layer 1 is lines, layer 3 is texture, etc.

How well did you know this?
1
Not at all
2
3
4
5
Perfectly
2
Q

In a “vanilla NN”, or MLP, how does a given layer of processing work? How do we go from layer i of size N to layer i+1 of size M?

A

Each of the M neurons in the output layer is computed by taking a weighted sum of all the values of the input layer (plus a bias), then passing it through an activation function. Typically the weights are learned but the activation is not, it’s something like relu or sigmoid.

So in order to get one of the output neurons, you take the N inputs, plus an input of 1 that’ll be multiplied by the bias, as a column vector and multiply them by a length N+1 row vector of weights; then you take the that output and pass it through the activation.

So if you want a length M output, you need M row vectors, and thus you’re multiplying the length-N+1 input by an MxN+1 matrix to get the length M output (which goes through the activation).

How well did you know this?
1
Not at all
2
3
4
5
Perfectly
3
Q

What is the sigmoid activation? What is its formula, and what does the graph look like? What does it functionally “do”?

A

It squishes all the real numbers between 0 and 1, like in logistic regression.

Often written as below, but I like e^x/(1+e^x)

How well did you know this?
1
Not at all
2
3
4
5
Perfectly
4
Q

What does the relu activation function look like?

A
How well did you know this?
1
Not at all
2
3
4
5
Perfectly
5
Q

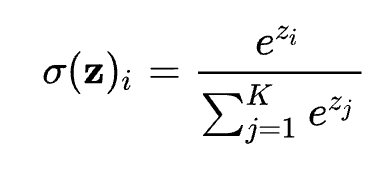
What is the softmax function? How is it computed, and what is it used for?

A

The softmax is the go-to output layer if you’re predicting a categorical variable with more than 2 categories. All the layer outputs are between 0 and 1, and they sum to 1 – so they’re basically probabilities (they aren’t exactly but can often kinda be interpreted that way), and whichever outcome class is being predicted as having highest probability is chosen.

The formula is shown below, where there are K values you’re trying to predict, each has a corresponding value z that needs to be passed through the softmax.

It’s similar to sigmoid

How well did you know this?
1
Not at all
2
3
4
5
Perfectly
6
Q

When learning an NN, what gradient are you calculating during optimization, and why? How does gradient descent work?

A

In order to optimize a neural network, you need to find the derivative of the loss function with respect to each of the weights in the network (maybe thousands or millions), and then you update the weights by taking a small step in that direction (I think technically the opposite direction but whatever).

If you want the partial derivative of a function with respect to each input variable, that’s the gradient: the gradient of the loss function is the vector of the function’s partial derivatives with respect to each parameter. So that’s what we calculate and optimize based on.

How well did you know this?
1
Not at all
2
3
4
5
Perfectly
7
Q

Conceptually, how does backpropogation work?

A

Basically you use the chain rule to efficiently get the partial derivatives one layer at a time.

You start by setting up the formulas to get the partial derivatives of the loss function with respect to the weights in the last layer. **These formulas will depend on the activation of the previous layer**, but you just hold that value constant while simply calculating the partial derivatives of this layer.

Then, basically using the chain rule, you substitute in the formula for the activation from the previous layer, and now holding constant the stuff from the subsequent layer, you simply calculate your next round of partial derivatives.

Then repeat, because the now the formula is dependent on the activation of the previous layer, which you can again substitute in, etc! I’m not gonna get totally into the weeds memorizing the exact math.

New simple and valuable thing to remember: The chain rule is just dy/dx = dy/du*du/dx, so it makes sense that dLoss/dSecondLayer = dLoss/dFirstLayer * dFirstLayer/dSecondLayer. And that shows clearly how gradients are based on past ones, and are eventually long chains of multiplied gradients (which could lead to vanishing gradients)

How well did you know this?
1
Not at all
2
3
4
5
Perfectly
8
Q

What is one-hot encoding? Why is it needed for neural networks?

A

Basically if you have a categorical variable with N>2 outputs, you’ll represent each row’s value of that variable wth N columns, each pertaining to one of the N categories. There’ll be a 1 for the category in that row, and 0s otherwise.

You need to one-hot encode because NNs need numerical inputs, so they can do computations by multiplying input vectors by weight matrices, and use derivatives of numerical formulas to optimize.

How well did you know this?
1
Not at all
2
3
4
5
Perfectly
9
Q

Why is the activation function important?

A

Without a nonlinear activation, you would just be learning a bunch of complex weighted sums of the inputs; it would be all linear. Nonlinear activations let you learn nonlinear relationships, which is where the magic happens.

How well did you know this?
1
Not at all
2
3
4
5
Perfectly
10
Q

What are loss functions?

A

Functions that numerically compare your predictions Y* to the true values Y to provide feedback on the accuracy of your trained model.

How well did you know this?
1
Not at all
2
3
4
5
Perfectly
11
Q

ML: What is the typical loss function for regression?

A

Mean-Squared Error (MSE)

How well did you know this?
1
Not at all
2
3
4
5
Perfectly
12
Q

What final activation is typically used, and what loss function is typically used, for predicting a binary categorical variable?

What about a categorical with 3+ options?

A

Activation is sigmoid, loss is BCE.

For 3+, activation is softmax, loss is cross entropy.

How well did you know this?
1
Not at all
2
3
4
5
Perfectly
13
Q

How are log loss and cross entropy loss related? How do they work?

A

New:

Remember the specifics here: it’s the sum of the negatives of isCorrect*log(predictedProb) for each class.

So a term only has weight if it’s the prob for the correct label (I had misremembered it as all the other ones have weight, not that one.)

And log(1)=0, log(decimal) = big negative number. So if you predict low for the truth, you get a big negative log value, then take its negative to get a big positive loss, as desired.

I’m confident this is the case.

Original:

Log loss (also called binary cross entropy) is for a binary categorical and cross entropy is 3+ outcomes, but they’re basically the same thing; it’s like sigmoid vs softmax.

These loss functions are just using negative log likelihood. So we are trying to find the maximum likelihood estimation of the best parameters: we try to find the parameters such that “the likelihood that those parameters, and the associated probabilties they yield, would have resulted in this dataset” is maximized.

So like, when we’re predicting a categorical variable, our model’s output is a bunch of probabilities. We want to get those probabilties close to being 1 for the correct answer and 0 for everything else, because that is the maximum likelihood solution: those are the probabilties that are most likely to have yielded this label, and thus the parameters associated with that probability are most likely to yield that label.

How well did you know this?
1
Not at all
2
3
4
5
Perfectly
14
Q

What’s the formula for negative log likelihood, aka binary cross entropy?

A

Hopefully the exact formula (below) isn’t that important to memorize if you’ve got the concept

What this boils down to is: for each point, the loss on that point is “the negative of the log of the predicted probability for the correct class.” Which because of optimization tricks is of course equivalent to “the negative of the predicted probability for the correct class (no log).” So if your predicted probability was high, then loss (which adds a negative sign to that) is quite low, which is good because we wanna minimize loss.

How well did you know this?
1
Not at all
2
3
4
5
Perfectly
15
Q

What little optimization can often be made to the pairing of softmax output and cross entropy loss?

A

Rather than having softmax output probabilities, have it output the logs of the probabilties, and alter cross entropy to recieve them. As we know, optimizing based on the logs achieves the same optimization, and is often more computationally effective.

How well did you know this?
1
Not at all
2
3
4
5
Perfectly
16
Q

Why is it important to normalize all of your input columns?

A

So all of the input columns have the same scale, making it easier to learn at approximately the same rate (and using the same learning rate parameter) for each input.

If one col had a really big scale and another had a really small scale, then a step that’s as large as the learning rate will be hard to get right for both columns: you might have a too-big step for the small-scale one, and vice versa.

How well did you know this?
1
Not at all
2
3
4
5
Perfectly
17
Q

What is the learning rate?

When would you decrease the learning rate? When would you increase it?

A

The learning rate is a positive scalar that determines how large of a step you take in the opposite direction of the gradient each time you take a step.

You would increase it if you’re learning too slowly, and decrease it if you’re underfitting or if your learning is jagged.

(though the size of that step in a particular direction is of course also influenced by the magnitude of the gradient in that direction. It’s a product of those two things: LR and gradient)

How well did you know this?
1
Not at all
2
3
4
5
Perfectly
18
Q

What is dropout regularization? Why does it work as a regularization tactic?

A

Dropout regularization is when we give nodes in the network a probability that they will be turned off on a training pass. So each time the model is run during training, we look at each node that might turn off, and if we pull the appropriate random number, set it to zero for this training run.

So for every training evaluation, we’re using a random subset of the nodes; the other nodes, and by extension their incoming and outgoing connections, are removed. (We don’t do dropout during validation or testing.)

My intuitive understanding of why it works for overfitting: first of all, it on average decreases the size of the model during training, and smaller/less complex models overfit less.

Also, because the model cannot consistently rely on having a specific node on a given run, it’s harder to, say, encode one specific training point in one specific node. Like if for example the model were trying to encode each training point’s individual outcome variable using one node each, that wouldn’t work super well with high dropout.

How well did you know this?
1
Not at all
2
3
4
5
Perfectly
19
Q

What causes vanishing gradients in neural networks, especially deep neural networks?

A

Certain activation functions have areas where their derivatives are very near zero: for example, the extreme values of sigmoid. So if all or most of the neurons get to the extreme values of sigmoid, the gradients will have a lot of very-near-zero values, which causes very slow training.

This is exacerbated by the fact that derivatives in NNs are often basically the the product of several of these individual derivatives, chained together by the chain rule. So you’ve got a bunch of near-zero values multiplied together.

How well did you know this?
1
Not at all
2
3
4
5
Perfectly
20
Q

Intuitively, why does using the relu activation function combat vanishing gradients, and exploding gradients?

A

A derivative in an NN is usually a bunch of individual derivatives of the activation function multiplied together, because of the use of the chain rule in backpropogation.

If the activation derivative tends to often be less than 1 (as with the extremes of sigmoid), these derivatives will tend to zero, and vanish. If they often to be greater than 1, they will tend to infinity and explode.

But the derivative of relu is always either zero or 1. So the product of a bunch of the derivatives will be either zero and 1, but some of them will typically be 1, because the network will need some info flowing through for each point. So there are usually always some gradients that aren’t vanishing and aren’t exploding

How well did you know this?
1
Not at all
2
3
4
5
Perfectly
21
Q

Why is learning rate decay useful?

A

Usually we want to take large steps at the beginning and slow steps at the end: at the end we’re near a local minimum and just want to slightly refine, where as at the beginning we probably have quite a ways to go.

How well did you know this?
1
Not at all
2
3
4
5
Perfectly
22
Q

What are word embeddings?

A

A set of word embeddings is a mapping from each word in your vocabulary to a vector of a fixed length, say 768 (much shorter than your vocab size), where each word’s embedding contains meaningful information about the word’s meaning, its grammatical function, its relationship to other words, etc.

How well did you know this?
1
Not at all
2
3
4
5
Perfectly
23
Q

What are 2 different ways word embeddings could be included in an NN, and how would each scenario work computationally and during training?

A

1: Each word is mapped to its pre-learned embedding using a key-value lookup table, and that is fed to the NN rather than the word itself. This key-value lookup is the first layer in the NN.
2: Custom word embeddings are learned as part of the NN you’re training (maybe using an initialization via transfer learning or maybe not). So the start of your network would be a sub-architecture creating the word embeddings instead of just a lookup table.

How well did you know this?
1
Not at all
2
3
4
5
Perfectly
24
Q

What is the general idea of attention in an NN?

A

The computer pays attention to the relevant parts of the inputs at each step of learning or prediction. For example, in image classification, just looking at the pixels that contain the phenomena of interest, or in language translation, looking at the relevant words before writing the next word in your translation.

This method is big for seq-to-seq tasks like language translation.

How well did you know this?
1
Not at all
2
3
4
5
Perfectly
25
How does attention work, at a high level, for an encoder-decoder where both are RNNs?
The encoder passes *all* of its hidden states, from every time step, to the decoder, rather than just the last one. This is great: the decoder has access to a hidden state for each individual part of the input, so it can sort of understand all parts of the input equally well. Then, at each time step in the decoder (i.e. at each word it's trying to produce), it focuses on the most important parts of the input. It learns parameters during training that figure out which parts of an input are important to focus on based on what part of the output it's trying to produce. It does this basically by learning to, at a given time step, assign each of the encoder's hidden state a weight based on how important it is, and then it calculates a "context vector" which is just the weighted sum of all the encoder's hidden states. I'm not gonna get more in the weeds than that.
26
How might attention be used if the encoder is interpreting an image, and the decoder is writing a text description of that image?
The decoder figures out where in the image is relevant to the particular part of the description it's currently writing. *Awesome.*
27
Do you use dropout during evaluation, or just training?
Just training. This makes some intuitive sense: if you had regularization as a part of your objective function rather than through dropout, you would want to penalize the model for complex weights during training, but when examining the validation set you really just wanna see how good your predictions are regardless of how complex the model parameters are. So I suppose the analog is also true for dropout.
28
Greyscale images are stored with pixels between 0 and 255. What preprocessing step is basically always done, and why is it helpful for learning?
Normalizing the input, as usual! Subtract mean, divide by std dev. (There are some tricks to quickly approximate this process that probably aren't important rn.) This way, the network is recieving a standardized distribution of pixel values regardless of the input image, which helps training. Otherwise dim images vs bright images would be hard to treat similarly, for example.
29
What are 3 advantages to using a CNN for computer vision as opposed to a normal MLP?
1. Fewer parameters: the same set of parameters are applied again and again, making the network more simple and probably decreasing overfitting. 2. Because it's using the same weights in different places, learning from one place can be applied elsewhere. A bird will look the same in the top right vs bottom left; with an MLP the network would have to re-learn that in every location on the network, but the CNN can learn it once and apply elsewhere. In that way it's like an RNN: a word means the same thing at the beginning or end of a sentence. 3. Because we're using a square convolution, it uses spacial information more intuitively and much better than an MLP, which would recieve the input flattened into one long vector presented one row of pixels at a time.
30
How does a convolutional layer work in its most basic form? Say we have a square input greyscale image, and we're applying a single convolution to it with dimension 3x3. How would the next layer be calculated?
The convolutional layer is going to have a convolution, or 'filter', which is a 3x3 array of learned weights. To perform a convolution, you apply it to a part of the grid by multiplying the pixel values by the corresponding weight, then summing the results, and then passing the sum through an activation function. You do that for all parts of the image (depending on stride and padding and such, but ignore that for now): you scan across the image continually applying the convolution to form the output of the layer, which is still square.
31
If you're trying to have an application of the convolution centered at every pixel in the input image, handling the edges gets weird: with a 3x3 convolution, if you're on an edge, there will be parts of the image with no input pixel to multiply? What are three ways this can be handled? What is the most common?
I'm pretty sure the most common is padding. It feels common.
32
How are color images, or 'RGB' images, represented as numerical input to a CNN? How does this compare to a greyscale image?
Say a greyscale image is 28x28 pixels. It is represented by a 28x28 grid of scalar values between 0 and 255, denoting brightness at a given pixel. RGB images need to keep track of not just one color (and not just one "brightness level"), but three: red, green and blue. So it is represented by *three* 28x28 grids of scalar values between 0 and 255, with one pertaining to the "red brightness", one to blue, and one to green. So the greyscale image is represented as a (28,28) matrix. The RGB is a (28,28,3) matrix: **it has three**"**channels", and is referred to as having a "depth" of 3**: its width and height are 28, and its depth is 3.
33
What is a convolution's stride?
The amount of pixels it moves at a time. If it's one, it scans one pixel at a time. If it's 2, it skips every other pixel. And so on.
34
Suppose we're using a 3x3 kernel, a stride of 1, and we haven't padded or extended the image. If the input is NxN, what size will the output be? What if it's instead a 5x5 kernel?
3x3: On every side of the image, there will be one row/column that we can't apply the kernel to, so each side decreases in size by 2. The output is (N-2)x(N-2) 5x5: now each size loses 3 rows, so it's (N-4)x(N-4)
35
Suppose we've padded an image such that, with a stride of 1, the output image will be the same size as the input. If the stride is 2, what size will the output be?
If the input is NxN, it'll become (N/2)x(Nx2), because for every row and column, a pixel is only being formed in the output for every other pixel in the input.
36
How is a convolution applied to an RGB image? What shape would the filter be, and how would the resulting output be calculated?
An RGB image has 3 channels, so its shape is something like (28,28,3). In a normal 28x28 image, we'd have a filter like a 5x5 array of weights, and we'd apply it at a point by multiplying the weights by the corresponding pixels, summing all the resulting numbers, and passing through an activation. The RGB case is similar, except now the filter is 5x5x3. The height and width can be whatever, but **the depth of the kernel will equal the depth of the image, so we can learn about each of the input channels.** This way we basically have three 5x5 kernels being applied to the image: one to the red values, one to blue, and one to green. Then all 5x5x3=75 results are added together, across all 3 channels, and then passed through an activation function. So conceptually, an edge detector could learn how to detect edges separately in each of the 3 colors, having one detector for each color. For example. Below is a *great* image.
37
Suppose an input is of shape (28x28x3) (as with an RGB input image), and we want the output of our convolutional layer to be of size (28x28x4). Don't get bogged down with getting the output 28x28 part right, and focus on the 4. How would this work? Describe what weights the convolutional layer has, and how it applies them to get the output with a depth of 4.
Say we use a 5x5x3 filter, and we pad the image such that with a stride of 1, the outcome will be 28x28x\_. What will the depth be? Well we scan the width and height of the image, and at each point we apply our "three separate 5x5 filters" to the three channels, sum the 75 outputs across all 3 channels into one scalar, and pass through activation. So we’re getting one scalar at each point. That means the output is depth 1: 28x28x1. So how do we get 28x28x4? **We learn 4 *different, separate* 5x5x3 filters**. Each will result in its own 28x28x1 output, yielding a 28x28x4 output.
38
Why would we want to have a convolutional layer whose output depth is higher than 1? Why would we wanna have, say, 5 different 5x5x3 filters to apply to a 28x28x3 RGB image, so the output dimension is 28x28x5?
Each filter can learn something different about the input! Maybe one detects edges, one records how bright it is, one checks if the dominant color is red, etc. Or maybe they just all detect *different* types of edges. One filter can only really learn one thing, but using multiple allows us to learn more complex and varied information during each layer.
39
We've learned that, to apply a convolution to an RGB input, we need a filter of a shape like (5x5x3): the depth then corresponds to the three color channels. What if we're later in the CNN, and the input channel is like (128,128,25). How would we make a filter for that?
Something like (5x5x25)! Whether it's an input layer or not, all we need is for the depth in the kernel to match the depth of the input, so we can apply a 2d filter to each of the channels, and learn about all the channels.
40
Suppose an input of shape (N,N,32) enters a convolutional layer, and we want an output of (N,N,45). Without getting hung up on the first two dimensions, what filters does the conv layer need in order to make this happen.
It needs 45 different filters of a shape like 5x5x32. Each filter's depth needs to match the depth of the input so it can look at all the channels in the input, and each filter will produce one NxNx1 output, so we need as many filters as we want output channels.
41
What is the high-level purpose of a max pooling layer
Decrease the height and width dimensions of the tensor, so weights don't explode as we slowly increase channels.
42
How do max pooling layers work? How would a 2x2 max pooling layer be applied to, say, a 28x28x3 input, and what would the output size be? How does the less common average pooling layer do this?
A 2x2 max pooling layer will decrease the height and width of an input by half, so the output will be 14x14x3. It does this simply enough by, within each channel, looking at each 2x2 grid within the channel, and outputting the max of those 4 values. An average pooling layer does the exact same thing, but instead of outputting the max of the 4 numbers, it outputs their mean.
43
Why would you want to use a max pooling layer? What is the benefit of decreasing the width and height of the channels at certain points in your network?
Often, we want to apply many filters to a given layer, meaning the outputs of our convolutional layers can be very large and require many parameters, which could lead to overfitting. For example, say we’re applying 1000 filters; that will add up fast. If we decrease the height and width by 2 every so often, we can offset this growing of the parameters: as we increase depth, we can decrease height and width.
44
Can a CNN be trained on inputs of different sizes?
Generally no. You would think they could, because you just take the filter and continually slide it over the input regardless of size, but the issue the size of the activation matrix would continue to be different throughout the network, and eventually you'd typically flatten the matrix into a 1d vector that you pass to a normal dense layer; but dense layers can only take inputs matching their exact length. So you need the same sized images. (I suppose you could get away with it if all you use is conv and pooling layers, and at the end your loss function can be applied to a variable-size output.) (Future Drew here: I suppose this could be one thing global pooling layers are for?)
45
What would be a common construction for a CNN being used for a task like image classification. How would the layers be ordered, and what would happen to the input over time?
To start the network, there would be several blocks of one or more convolutional layers followed by a max pooling layer. Each blocks' convolutional layers will typically use padding so the height and width of the image don't change, and thus they only change when the max pooling layers decrease them by half. We will continually learn more and more 'features', or 'channels', about the input as we go, so when combined with the max pooling layers decreasing width and height, we will go from a representation whose height and width is much larger than its depth, to the other way around: a very deep representation with small width and depth. After we achieve this through several conv-pooling blocks, we'll flatten the resulting matrix out into a 1d vector, and pass it through a few simple dense layers before outputting our prediction. The below image doesn't show the dense layers at the end.
46
What is reflected by the fact that our matrix is gaining more and more channels throughout the CNN?
We're learning more and more features/pieces of information about the input. And of course as we get deeper in the network, those features/insights become more complex, as they are supposed to with simple MLPs as well.
47
Generally, when instantiating a convolutional layer, what information do you need to tell pytorch about it?
The number of input channels, and the number of output channels The height and width of one of the kernels (their depth will equal the number of input channels) The stride and padding information
48
When instantiating a max pooling layer, what information do you need to tell pytorch about it?
Just the height/width and the stride
49
What is “groups” in a convolution? So if you have a normal Conv2d layer in pytorch and you set the flag groups=2 or 3, what does that mean, and what does it accomplish?
From pytorch docs: “At groups=2, the operation becomes equivalent to having two conv layers side by side, each seeing half the input channels and producing half the output channels, and both subsequently concatenated.” So yeah. Basically it's a way of decreasing the number of connections in a conv layer mapping in\_channels to out\_channels, by having each out channel only consider a subset of the input channels. The higher the groups, the fewer number of input channels being considered by a given output channel.
50
What are some good ways to augment your dataset of images? Why is this valuable?
You can apply a bunch of different rotations, zooms, crops, reflections, random noise, color distortion, etc to your input images, resulting in lots more slightly different images. This just makes your CNN more robust to picking up the features of the image when those features are in different sizes, orientations, etc. If you're recognizing cats, this helps you identify big cats, small cats, cats on their sides, upside-down cats, etc.
51
When using a large pre-trained model for transfer learning, what two factors most impact the extent to which you'll want to retrain or structurally alter the existing model?
1. **The size of your dataset:** the smaller it is, the less capable you are of retraining a gigantic network. 2. **The quality of the match between their task and yours**: if your image classification task is super similar to theirs, you need less retraining or structural alteration than otherwise. It's easier to move from dogs to wolves than from dogs to cancer detection.
52
Why is transfer learning so prevalent in computer vision tasks like image classification?
There are already giant, well-trained networks that can classify wide arrays of images, like ImageNet. These can often be slightly reworked to transfer all that big-data learning to your small-data task, or the parameter initizations can serve as a great starting point before fine-tuning if you have enough data to do so. (Ah how times change. NLP too now!)
53
Say you're doing transfer learning, using a big pretrained image classifier for some image classification task of your own. What might be a sensible way to handle it if: 1. You have little data, and it is similar to their task? 2. You have lots of data, and it is similar to their task? 3. You have little data, and the tasks are not similar? 4. You have lots of data, and the tasks are not similar?
**Little and similar**: you can use most of the layers and can't do much retraining, so maybe just replace a couple of the fully connected layers at the end, leaving all the layers before it fixed and not backpropogating through them **Lots and similar:** because you have lots of data, you should still fine-tune the architecture, but the parameters learned from the similar task are a good initialization. You'll of course swap out a layer or two at the end (as with any of these cases) just so your # of output classes is correct **Little and not similar:** Here, overfitting to our small dataset is still an issue, so we will hold the parameters from the original network as constant. But now because the datasets are different, task-specific features that the original network learns in later layers will not be useful. We can, however, still use the more abstract features from earlier layers, like textures and edge detection. So we remove most of the original layers, leaving only the beginning layers that extract more general image features. Then we add a few new layers and only backpropogate through the new ones. **Lots and not similar**: you might fine-tune the parameters from the original, or you might just totally retrain it and just use the original network's hyperparameters, like number and size of layers, as a starting place.
54
How do autoencoders work? What task are they trying to accomplish, and what architecture do they use to accomplish it? What is the loss function?
Autoencoders are a compression algorithm, or a learned means of dimension-reducing an input, then scaling it back up to its original size with as little lost information as possible. An autoencoder is basically a neural network made up of two sub-neural-networks: the encoder and the decoder. The encoder takes the input and maps it to a low-dimensional representation, and the decoder takes that low-dimensional representation and maps it back up to the original size of the image. That low-dimensional representation in the middle there is the compressed form, and the goal of the network is to get that as good as possible. The loss function is simply to compare the input to the reconstructed input: if the input was an image, you just find the pixel-level MSE between the two, so the network aims to make the output as similar to the input as it can.
55
Without getting into the weeds (I'm not concerned with the lowest-level math), how do transpose convolutional layers, or "deconvolutional layers", generally work, and what are two potential applications?
In autoencoders, the decoder needs to take a low-dimensional vector and **upsample it into an image**. Similarly, in a GAN generating images, then generator needs to take a small vector of noise and upsample it into an image. These networks start to look like reverse CNNs: CNNs slowly go from large height/width and few channels to small height/width and many channels. So these upsampling networks need to do the opposite, slowly increasing the height and width. This is what reverse convolutional layers do: they **basically apply a filter which is larger than the area it's being applied to, and doing so with a high stride like 2, so the output height and width are larger than the input's.**
56
What is a global average pooling layer? How does it work, where might you include it in a CNN, and what purpose does it serve.
A GAP layer, if included, would be included after all the blocks of conv/pooling layers, before the fully connected layers. It is basically an extreme version of a pooling layer: it maps every channel to one scalar, which is the mean of all the values in the channel. Often, the inputs to the dense layers are so large (so many channels of substantive height and width), that there are just too many parameters in the final dense layers, which can cause issues with overfitting. This is a way to combat that overfitting: it drastically decreases the size of the input to the dense layers, thus decreasing the number of parameters they need to have. Because of the nature of conv layers vs dense layers, oftentimes most of a network's parameters can be in those final few dense layers, so this can be a very effective way to decrease the # of params and combat overfitting.
57
How does momentum work, and what purpose does it attempt to solve?
In momentum, rather than taking a step in the direction of the current gradient, you take a step in the direction of **an exponentially decaying weighted sum of all past gradients**. The hope is that it helps you "power through" local minima to reach global minima. So for example, if you got to the bottom of this local minimum, the current gradient would be zero, but the previous ones are still pointing right and would carry you through. Another benefit is that momentum helps decrease jagged training. If the objective function is pointing in a consistent direction in one dimension (long side of ovals below), but prone to jumping around on another one (short side of ovals below), momentum smoothes this out.
58
We've already covered that momentum can be used to "power through" local minima in order to hopefully reach other minima that are lower. What is another potential advantage of using momentum during gradient descent? In what situations will this advantage be present, and how will momentum achieve this?
Because it takes an average of all previous gradients, with a focus on recent gradients, it can smooth out learning if it happens to be jagged. If the gradients keep jumping back and forth in one of the dimensions, those will average out to about zero, and the descent will stop taking big steps in those dimensions and focus on the dimensions with a consistent direction. This is illustrated in the following picture. These are contour lines, and each line is at a constant level in the z direction with respect to itself. So this means the slopes are way more steep in the y direction than x, because height is changing over a much smaller horizontal distance. This may be easier to see if you envision it as maximizing over a hill rather than minimizing over a valley. So in this context, you can see (in blue) how the baseline slopes will be much larger in the y direction than x, causing most of each step to be a jagged movement in the y direction rather than a productive movement in the more subtle x direction. Momentum (in red) smoothes this out. (The red drawing over-exaggerates the size of the steps in that direction, but it’s just meant to illustrate how the jagged y-direction movement is decreased.)
59
What's the spirit of momentum learned in convex optimization?
We want to speed up training, and to increase learning rate to do so (maybe even beyond what we can theoretically guarantee will converge). But we can't just wantonly increase leraning rate, or learning becomes jagged and bad. So we essentially **adaptively use a different learning rate based on the "terrain".** In jagged areas the **learning rate ends up being low, in effect** (because when we sum past gradients, they're not similar and cancel each other out, decreasing the effective learning rate). In smooth ares, the summed gradients instead synergize, **effectively increasing the learning rate.** So it's basically a form of adaptive learning rate tuning!
60
What is the spirit of how adagrad works, as learned in convex optimization?
Maybe your objective function is way steeper in one dimension than in others. In this case (as well as in similar cases where some dimensions are out of whack), it'd be great to scale your gradient on an entry-by-entry basis, where take the big gradients and chill them out a bit, or take the tiny gradients and amp them up a bit. This is what adagrad does: it stores historical gradient info, looks at which entries are recently usually really big or small, and uses that to **You'll notice that this is very similar to what momentum does!** They're two different ways of accomplishing a similar conceptual goal, it seems.
61
What is the goal of the RMSprop optimization algorithm, and how does it work *intuitively?*
The goal, similar to momentum, is to combat jagged and inefficient learning by smoothing out our steps in the direction of the gradient. The general idea of RMSprop is it keeps track of which dimensions keep having large steps and which keep having small ones, and uses that information to smooth out training by decreasing the relative size of the large ones and increasing the relative size of the small ones. It does this by dividing the size of the step in each direction by a weighted average of recent derivatives in that direction.
62
How does RMSprop work at a lower level?
Again, the goal, similar to momentum, is to combat jagged and inefficient learning by smoothing out our steps in the direction of the gradient. In momentum, you keep a exponentially decaying weighted average of the gradients, and each iteration you take a step in the direction of that weighted average. In RMSprop, you instead keep an exponentially weighted average of the squares of each of the partial derivatives, and then to construct the “gradient” which is the direction you want to move, for each dimension you take the current partial derivative, and divide it by the square root of the exponentially decaying sum of the derivatives. That’s pretty complicated, but here’s the intuition: because we’re squaring the derivatives in the sum, they’re always positive; so **the bigger the past derivatives, the bigger the value by which we’re *dividing* the size of our current step.** Steep dimensions where learning is jagged will have large gradients, so we’ll be dividing by a large value and decreasing the size of the step; conversely, not-steep dimensions with slow learning will now have relatively larger steps, so we make proportionally more progress in that direction. This can be used to increase the learning rate, and overall learn faster. The key parts of this picture are the **top**, showing the image where each fault line has a consistent height and thus the y axis is much steeper, and the **bottom**, showing how the update is the derivative, divided by sqrt(weighted sum of squares of derivatives).
63
How are RMSProp and AdaGrad related?
They're basically the same thing, RMSProp is just an optimized version. They can be discussed and conceptualized very similary Source: https://towardsdatascience.com/a-visual-explanation-of-gradient-descent-methods-momentum-adagrad-rmsprop-adam-f898b102325c
64
As of a few years ago at least, what is the "best" optimization algorithm, in the sense that it's consistently very effective across a wide array of deep learning applications?
Adam
65
What is a quick, one-sentence summary of the adam optimization algorithm
It takes momentum and RMSprop and puts them together. (These are both effective means of smoothing out training and making it more consistently move in the right direction in a non-jagged fashion, so this is a good idea!)
66
Expand a little more on how the adam optimizer works
Adam combines momentum and RMSprop. So, ignoring an optimization or two that isn't that important for conceptual understanding, basically what you do is: Keep track of an exponentially weighted sum of the past gradients (for momentum), as well as an exponentially weighted sum of the *squares* of the past gradients (for RMSprop) Then your update at a given time step will be the current exponentially weighted sum of the gradients (as with momentum) *divided by* the square root of the weighted sum of the squares of the gradients (as with RMSprop).
67
What are the key hyperparameters of the adam optimizer?
Learning rate, the size of the step. Obviously important and need to be tuned. Then there is Beta1, which determine the rate at which the exponentially weighted sum of the gradients drops off (i.e. how quickly old values disappear towards zero), and Beta2, which is the same thing for the weighted sum of the squares of gradients used in RMSprop. Beta1 and Beta2 are more commonly not messed with and just left to the default values.
68
Off the top of your head: what are GANs, and how do they work?
A GAN, or generative adversarial network, is a model essentially composed of two separate neural networks: a generator and a discriminator. The generator recieves as input a vector of random noise and transforms it into a generated fake member of a dataset; for example, maybe it turns it into a picture of a face. The discriminator recieves either a real member of a dataset, or a fake one made by the generator, and it predicts the probability that the input is real. To train this joint network, the generator tries to maximize the discriminator's predictions on its fake inputs, and the discriminator tries to minimize those predictions and maximize predictions on the real inputs. Hence adversarial.
69
What are a few things GANs can be used for?
Creating new data, or new fake members of a dataset, such as images or videos Transferring aspects of a dataset onto another: making a video of a horse look like a zebra, making a photo in the style of a certain artist, turning a rough sketch of an object into a much more detailed sketch, deep fakes, etc
70
What is batch normalization in neural networks? What is the intuition behind why it's useful?
Applying batch normalization to a layer simply means normalizing the layer’s outputs to have mean 0 and std 1, by subtracting the batch mean and dividing by the batch variance. So we’re normalizing with respect to the current batch, not the whole dataset. So similar to how we normalize the inputs to a model, we can also normalize the inputs to layer n+1 by applying batch normalization to layer n. It’s helpful to normalize some layers within the NN, not just normalize the inputs, because in the same way that the consistency of inputs to a network helps it learn, consistent inputs to any given layer help it learn more easily, quickly, and consistently. Any layer can be thought of as “the input layer in the remaining sub-network”, and having consistent inputs to that sub-network will be helpful!
71
How is batch normalization implemented?
Basically how it's explained: subtract the batch's mean and divide by its variance. The only deviation from this is that we actually add a small epsilon to the variance in practice. This is partially to avoid a variance of zero, and partially because we’re really trying to estimate overall population variance, which is typically a little higher than a batch’s variance.
72
What is the primary benefit of batch normalization, and what is a possible secondary benefit?
The primary purpose and benefit of batch norm is faster training (which could potentially allow for more complex models, or smaller learning rates, etc). A possible secondary benefit is thus that maybe we can get better accuracies. There are lots of other potential small benefits (very light regularization, potentially allowing for a wider range of activations, weight initializations are less important, can help with vanishing gradients) that probably aren't as key.
73
How do normalization and batch normalization work? Do they find an average for each particular neuron, or a certain dimension, or the whole tensor?
For both, I think the general answer is that there are different ways of doing it. The general idea of normalization is you want all of the outputs from a particular layer to follow the same (unit normal) distribution, so that the same learning rate can be effectively applied to all outputs. Out of this comes the fact that the most theoretically correct way to do normalization is to find the mean and stdev for every neuron, and normalize them all the same, so they're all output with the same distribution. (See DeepLearningAI's normalization youtube video.) That said, this is not always what people do in practice. Empirically, dumber/less theoretically sensible things can work fine. For example, at Aurora, we normalized our images using just a single mean and stdev calculated across the whole tensor and the whole dataset, because that was simple and sufficient. Some people even go simpler and just divide an mnist image by 255, for example. There are also intermediate solutions, where you pick a particular dimension and calculate a mean and stdev for each of those dimensions, then use the same summary stats for every neuron that's part of the same entry in that particular dimension. So for example, take the BatchNorm2d layer in pytorch, which normalizes a batch of CxHxW image representations (so input is NxCxHxW). Based on this layer's description, I'm pretty sure for a given batch, it computes summary statistics for each channel, then uses the same stats for each entry in a given channel.
74
How does a basic one-layer RNN work? What 3 sets of weights are learned, and how are they applied to an input?
An RNN has a **common "structure" or "hidden layer"** that is applied sequentially to each time step in the input structure; for example, words in a sentence. At each application, there are basically 2 things that determine the activations 's' of the hidden layer: the input, and the weight matrix Wx that connects the input to the hidden layer; and **the activations of the previous application of the hidden layer**, and the weight matrix Ws that connects the previous activations to the hidden layer. The two matrix-vector products are calculated, summed, and passed through the activation function. Then, a third matrix is learned which connects the activations of the hidden layer to the output layer. (Then maybe there's an activation like sigmoid.) Depending on the architecture, this might be evaluated at every step, or at just the last step, etc. Here are 3 different ways of showing the same basic network; the first shows the key formulas.
75
What can we learn from the Elman Network representation of an RNN to better understand how information flows through the network? In what sense can Wx and Ws be thought of as one matrix? I just love this representation, it's so intuitive and actually explains the architecture: remember it!
In an RNN, both the input vector x and the previous activation vector s are multiplied by their own respective weight matrices to get new vectors of the same length, which are summed to get the final value. This is where the formula activation([Wx]\*x + [Ws]s\_t-1) comes from. But this is not actually that weird, because it can just be thought of as x and s\_t-1 being lined up into one vector and multiplied by one weight matrix!
76
What is a big problem with normal RNNs? How does it happen, why is it bad, and how can it be combatted?
Vanishing gradients lead to "bad long-term memory". Basically, when we're trying to update Wx or Ws based on the output at a very late time step, we find the derivative of the contribution of that matrix W from all previous time steps. But the derivative for early time steps is a *lot* of derivatives chained together, leading to vanishing gradients. So when we're updating based on a late outcome, the contribution of an earlier part of the input vanishes. This can be bad: words at the beginning of a sentence can have a big impact on the meaning of the end of the sentence, for example. It's intuitive that vanishing gradients are especially bad for RNNs: they're bad when a bunch of layers are applied in a row, because all of the potentially small gradients are getting multiplied together. Well, an RNN has a layer that can easily be applied 50 or 100+ times if the input x has 100+ time steps. The solution is LSTMs
77
At a high level, what new functionality do LSTMs add on top of normal RNNs?
Long term memory! RNNs have a mechanism for using short term memory, but due to the vanishing gradients problem, they can't really effectively retain info from very long ago. LSTMs add a path to pass along and retain long term memory in addition to the short term memory pathway. I'm not gonna get into memorizing gates and architecture and stuff; as Dr. Kolter said, a lot of that is hand waving. There are 4 "gates" for bringing in and interpreting old and new information, and reforming it into new long and short term memories.
78
How are word embeddings included in an RNN?
You put the word embedding layer(s) between the input and the "main RNN cell", so from the perspective of the cell, the embedding *is* the input. If you're learning a custom embedding scheme while training the RNN, you can have backprop-through-time go through the embedding layer. (In this picture sigmoid just refers to an FC layer with a sigmoid activation)
79
How does a bidirectional RNN (or LSTM or whatever) work for an example task like named entity recognition?
It's pretty simple: there are basically "2 RNNs", one that iterates over the input from front to back, and another that goes from back to front. So 2 hidden states are learned for each input: one that uses that input and all the earlier context, and another that uses that input and all the later context. Then both of those hidden states are concatenated and passed through a single dense layer to get the prediction, which in this case is the probability that a word is a name.