Quel est le cadre de l’étude de l’équilibre chimique ?
Montrer le signe de ΔrG.dξ
Attention à être rigoureux :
Étapes :
Comment déterminer un sens d’évolution (direct/indirect) d’une réaction ?
Justif
À quoi faut-il faire attention ?
On ne répond donc jamais un sens d’évolution sans avoir donné le signe de ΔrG.
Donc :
Quelle est la condition d’équilibre de manière générale ?
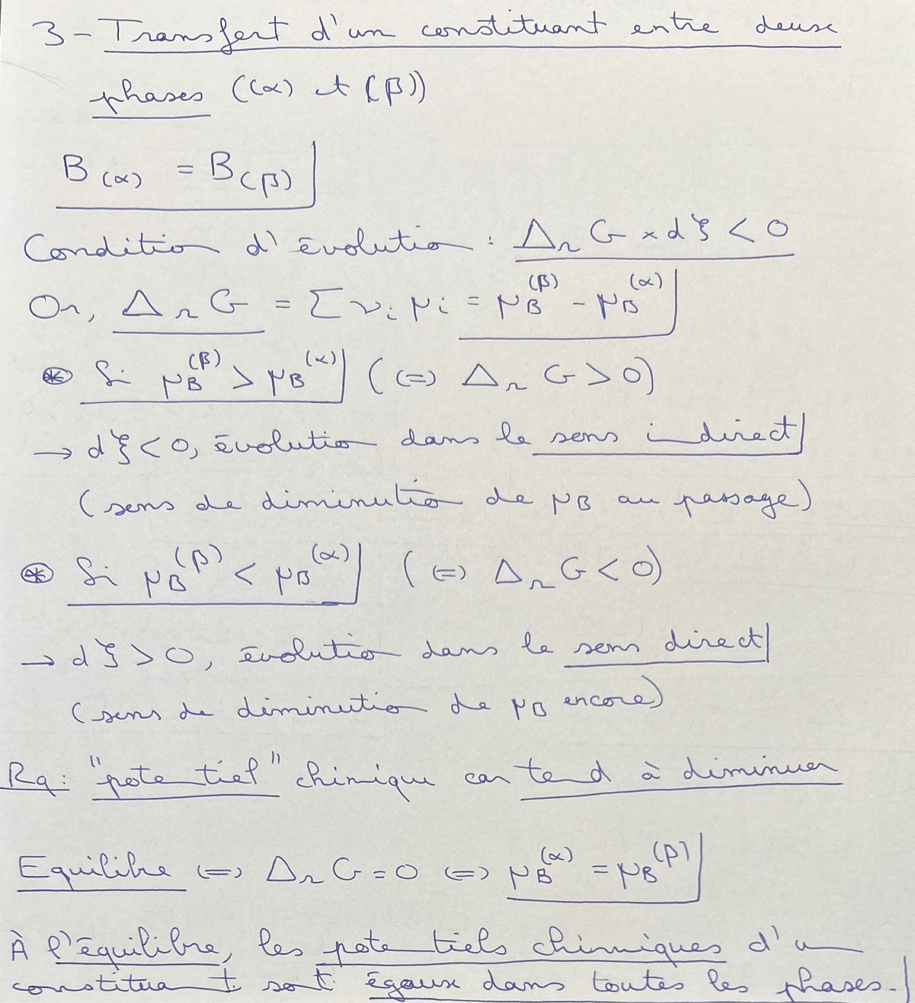
Dans le cas particulier d’une réaction de transfert d’une phase à une autre, comment déterminer le sens d’évolution du système et quelle est la condition d’équilibre ?
On compare les potentiels chimiques
D’après la loi de Hess
C’est une sorte de phénomène de modération : on cherche à avoir les même potentiels chimique (pour un constituant donné) dans toutes les phases, le système évolue donc dans le sens qui homogénéise, jusqu’à atteindre l’équilibre
Qu’est-ce que le principe d’un osmoseur ?
Justif
Diluer la solution la plus concentrée
Définir la pression osmotique
On appelle pression osmotique π la surpression à appliquer pour être à l’équilibre
Comment déterminer la pression osmotique ?
Analogue à la relation des gazs parfaits
Attention à bien mettre le s
Quel est l’ordre de grandeur des pressions osmotiques ?
Plusieurs dizaines de bar
Comment trouver le niveau dont l’eau monte si on n’applique pas la pression osmotique
Pression osmotique (en bar) × 10m
Faire l’application numérique de la pression osmotique.
À quoi faut-il faire attention ?
Pourquoi et comment définit-on la constante d’équilibre ?
Justif
Elle permet d’accéder au sens d’évolution de la réaction en étudiant seulement les activités, ce qui est plus simple
Quelle est la définition de la constante d’équilibre ?
Qu’est-ce que la relation de Guldberg et Waage ?
De quoi dépend la constante d’équilibre ?
K° ne dépend que de T
Comment déterminer l’évolution de K° avec T ?
Comment trouver l’expression de K° à une température T, si l’énoncé donne les ΔfHi° et Smi° ?
Quels sont les paramètres qui caractérisent un système ?
La description d’un système provient de la description des valeurs des paramètres intensifs qui le caractérisent :
En quoi la variance est-elle nécessaire ?
Ces paramètres intensifs ne sont pas tous indépendants : il existe des relations entre eux. (Par exemple à une pression fixée, l’équilibre impose la température d’ébullition, ou alors le point triple, l’équilibre impose la température et la pression)
Définir la variance
La variance est le nombre de paramètres intensifs que l’on peut fixer indépendamment pour déterminer un état d’équilibre du système
Comment calculer la variance ?
Qu’appelle-t-on les degrés de liberté d’un système ?
Calculer la variance de la réaction d’ébullition de l’eau
Calculer la variance du point triple de l’eau