Équilibre De Complexation En Solution Aqueuse Flashcards

(46 cards)

1
Q

Qu’appelle-t-on un «complexe» ?

A

Un complexe est un édifice polyatomique (molécule) :

  • soluble dans l’eau
  • une espèce centrale métallique M (neutre ou cationique)
  • ligands L (neutres ou anioniques)
  • par des liaisons de coordination (dans lesquelles le ligand apporte les deux électrons)
How well did you know this?
1
Not at all
2
3
4
5
Perfectly
2
Q

Décrire le caractère orbitalaire de la liaison entre le métal et le ligand

A

Interaction de type σ-donneur entre le ligand et le métal (souvent la HO du ligand avec une OA d du métal)

How well did you know this?
1
Not at all
2
3
4
5
Perfectly
3
Q

Combien de ligands peut-on accrocher au maximum sur un métal ?

A

6

How well did you know this?
1
Not at all
2
3
4
5
Perfectly
4
Q

En quoi les complexes sont analogues à la situation acide/base ?

A

On a un accepteur et un donneur, au lieu de H+, c’est les ligands que l’on échange

How well did you know this?
1
Not at all
2
3
4
5
Perfectly
5
Q

Si on n’a pas 6 ligands pour un métal, quelle est la réalité chimique ?

A

On a souvent des liaisons avec le solvant H2O

How well did you know this?
1
Not at all
2
3
4
5
Perfectly
6
Q

Quelle est la nomenclature pour les ligands dans les complexes ?

A
How well did you know this?
1
Not at all
2
3
4
5
Perfectly
7
Q

Quelles sont les exceptions pour la nomenclature des ligands ?

A

Ceux qu’on utilise le plus souvent :

  • H2O = aqua
  • NH3 = ammine (attention : 2×m)
  • CO = carbonyle
How well did you know this?
1
Not at all
2
3
4
5
Perfectly
8
Q

Quelle est la nomenclature pour le métal dans les complexes ?

A
How well did you know this?
1
Not at all
2
3
4
5
Perfectly
9
Q

Quelle est la nomenclature globale du complexe ?

A
How well did you know this?
1
Not at all
2
3
4
5
Perfectly
10
Q

Quelle est la nomenclature de Zn(NH3)42+ ?

A

Complexe tetraamminezinc (II)

How well did you know this?
1
Not at all
2
3
4
5
Perfectly
11
Q

Qu’appelle-t-on des ligands polydentates ?

A

Ce sont des ligands qui peuvent s’accrocher plusieurs fois sur l’espèce centrale M

How well did you know this?
1
Not at all
2
3
4
5
Perfectly
12
Q

Donner deux exemples de polydentates (formule topologique)

A
How well did you know this?
1
Not at all
2
3
4
5
Perfectly
13
Q

Qu’appelle-t-on l’effet chelate ? («kélate»)

A

Les complexes obtenus avec des ligands polydentates sont plus stables que leurs équivalents avec des ligands monodentates (largement non négligeable)

How well did you know this?
1
Not at all
2
3
4
5
Perfectly
14
Q

Pourquoi l’EDTA donne-t-il souvent des complexe très stables ?

A

Par effet chelate : on a une seule molécule qui fait 6 ligands (hexadentate)

How well did you know this?
1
Not at all
2
3
4
5
Perfectly
15
Q

Quelles sont les deux réactions de formations possibles des complexes ?

A

Réaction de formation globale ou successive

How well did you know this?
1
Not at all
2
3
4
5
Perfectly
16
Q

Qu’est-ce que la réaction de formation globale ?

A

Réaction de formation du complexe à partir de toutes les espèces libres

How well did you know this?
1
Not at all
2
3
4
5
Perfectly
17
Q

Qu’est-ce que la réaction de formation successive ?

A

Réaction de formation à partir d’un seul ligand et du complexe précédent

How well did you know this?
1
Not at all
2
3
4
5
Perfectly
18
Q

Qu’appelle-t-on «constante de formation globale» ?

A
How well did you know this?
1
Not at all
2
3
4
5
Perfectly
19
Q

Quelle information donnent les constantes de formation ?

A

Plus les constantes de formation sont grandes, plus les complexes sont stables

20
Q

Qu’appelle-t-on «constante de formation successive» ?

21
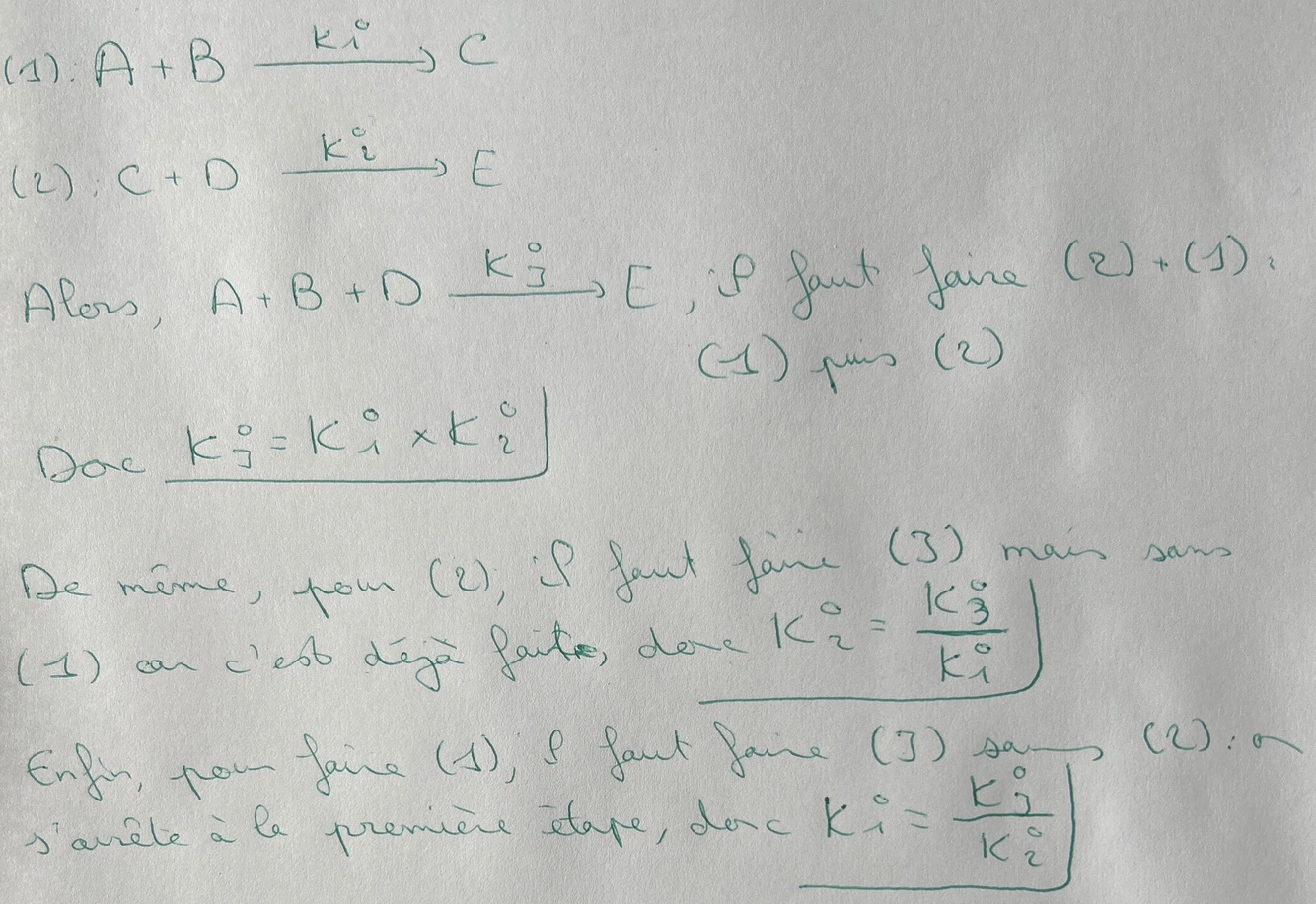
Q

Comment manipuler les équilibres ?

A

Il faut vraiment les voir comme des équations, et (3) = (1) + (2)

22
Q

Comment passer des constantes de formation globales aux constantes de formation successives et inversement ?
Justif

23
Q

Quelle est le seul type de réaction de dissociation possible ?

A

On a uniquement des dissociations successives

24
Q

Qu’appelle-t-on constante de dissociation d’un complexe ?

25
Quelle est l’analogue de la constante d’acidité dans les complexes ?
26
Quel est l’analogue de la formule de Henderson, pour les complexes ?
27
Si p(…) tend vers +∞, quel information est-ce que ça donne ? Justif
Puisque p(…) = - log(…) : lorsque p(…) tend vers +∞, on n’a pas de … dans le milieu
28
Quel est l’analogue de la règle du gamma pour les complexes ?
29
Déterminer l’avancement à l’équilibre
RP = réaction principale - déterminer la RP - exprimer K° littéralement et numérique - faire le tableau d’avancement - écrire la relation de Guldberg et Waage et l’appliquer - résoudre en effectuant éventuellement des DL
30
Comment déterminer la concentration de toutes les espèces à l’équilibre ?
31
Quel est le lien entre Kd et Kf ?
Kdn = 1/Kfn
32
Que signifie « monocoordiné » ?
À un seul ligand
33
Justifier l’allure d’un diagramme de prédominance pour un seul complexe monocoordiné en justifiant
34
Comment rédiger si on demande en diagramme de prédominance ?
- équation de la réaction de dissociation - pL = pKd + …/… - … prédomine sur … ⇔ … ≥ … ⇔ pL ≥ pKd - diagramme
35
Justifier l’allure d’un diagramme de prédominance pour un seul complexe polycoordiné en justifiant
36
Dans le cas de plusieurs complexes stables (différent nombre de ligands), dans quels cas sont-ils tous stables ?
Si pKd1 > pKd2 > …, ils ont tous un domaine de prédominance
37
Tracer le diagramme de prédominance pKd1 = 4,1 | pKd2= 3,5| pKd3 = 3,0 | pKd4 = 2,1
38
À quelle condition sur les pKd a-t-on un complexe instable ?
Lorsqu’il ne sont pas bien ordonnés (on n’a pas pKd1 > pKd2 > …)
39
Justifier l’allure d’un diagramme de prédominance pour un complexe instable en justifiant
40
Comment appelle-t-on un ligand qui peut s’accrocher plusieurs fois sur l’espèce centrale M ?
Un ligand polydentate
41
Si on voit dans l’énoncé « on mélange … mL de … avec … mL de … », quel doit être le réflexe ?
Écrire « dilution ! »
42
Quels sont les degrés d’oxydations maximaux et minimaux d’un métal ?
- minimum : 0 (réducteur, cations !) - maximum : nombre d’électrons de valence
43
Pourquoi peut-on écrire la concentration en Zn(OH)2 qui pourtant est un solide ?
S’il est sous forme de complexe ça signifie qu’il est sous forme aqueuse (mais forcement à faible concentration puisqu’il précipite sinon)
44
Comment déterminer les constantes globales de formation à partir d’un diagramme de distribution des différentes espèces ?
- écrire réaction de formation globale - « à l’équlibre, Qr,éq = K°, donc … » - « au croisement entre les courbes … et … *(associées à l’espèce métallique seule et celle que l’on forme, les deux impliquées dans la réaction de formation globale)*, […] = […] et pL = … » - injecter dans le relation de Guldberg et Waage - en déduire la constante de formation globale
45
Comment déterminer les valeurs des constantes de formation successives à partir d’un diagramme de distribution des différentes espèces ?
- écrire réaction de formation globale - « à l’équlibre, Qr,éq = K°, donc … » - « au croisement entre les courbes … et … *(associées à l’espèce MLn-1 et MLn, les deux intervenant de la réaction de formation successive)*, […] = […] et pL = … » - injecter dans le relation de Guldberg et Waage - en déduire la constante de formation successive
46
De manière générale, comment utiliser un diagramme de distribution pour calculer des constantes thermodynamiques ?
- écrire la réaction - écrire sa constante grâce à la réaction de Guldberg et Waage - se placer à une intersection qui annule des concentrations